PET چیست و چطور ساخته می‌شود؟ – به زبان ساده

۸۰
۱۴۰۴/۱۱/۸
۱۱ دقیقه
PDF
آموزش متنی جامع
امکان دانلود نسخه PDF

PET نام اختصاری ترکیب شیمیایی «پلی اتیلن ترفتالات» (Poly Ethylene Terephethalate) است. این ترکیب پلیمری، با حروف اختصاری PETE یا PETP یا PET-P نیز شناخته می‌شود و یکی از رایج‌ترین مدل‌های رزین پلیمری و از خانواده پلی‌استرها است. از این نوع پلیمر در ساخت و تولید بطری‌های آب، برخی از الیاف لباس، ظروف نگهداری غذا و ... استفاده می‌شود. در این مطلب از مجله فرادرس می‌آموزیم PET چیست و چگونه ساخته می‌شود.

آنچه در این مطلب می‌آموزید:
  • با مفهوم و ساختار ماده PET (پلی اتیلن ترفتالات) به شکلی کامل آشنا می‌شوید.
  • ویژگی‌ها و ساختار PET را می‌شناسید.
  • روش‌های مختلف مستقیم و غیر مستقیبم تولید PET را یاد می‌گیرید.
  • کاربردهای این ماده را در صنعت‌های مختلف پلاستیک، نساجی، دارویی و غیره می‌شناسید.
  • با بازیافت ماده PET و روش‌های فیزیکی و شیمیایی آن آشنا می‌شوید.
  • می‌آموزید تقویت PET چیست و چرا انجام می‌شود.
PET چیست و چطور ساخته می‌شود؟ – به زبان سادهPET چیست و چطور ساخته می‌شود؟ – به زبان ساده
997696

در ابتدای این مطلب می‌آموزیم PET چیست و چه ویژگی‌هایی دارد. سپس به بررسی روش‌های تولید این ماده طی واکنش‌های آلی می‌پردازیم. در ادامه، کاربردهای PET را بررسی کرده و یاد می‌گیریم بازیافت PET چگونه انجام می‌شود. در نهایت با روش‌های تقویت خواص این ماده آشنا می‌شویم. با مطالعه این مطلب تا انتها می‌توانید به شکلی کامل بیاموزید PET چیست.

PET چیست؟

PET یک نوع ماده پلیمری پلاستیکی است که نام شیمیایی آن «پلی اتیلن ترفتالات» (Polyethylene Terephthalate) است. این ماده پلیمری خواص منحصر به فردی دارد که باعث می‌شود به صورت گسترده‌ای از آن در صنایع مختلف استفاده شود.

در ساختار این ماده شیمیایی، گروه‌های مونومر استری وجود دارد و اصطلاحا یک پلی‌استر است. تصویر زیر، ساختار این ماده شیمیایی را نمایش می‌دهد.

ساختار مولکول پلی اتیلن ترفتالات - PET چیست

رزین PET یا پلی اتیلن ترفتالات، یکی از پرکاربردترین ترموپلاستیک‌ها در جهان است. این ماده نقش مهمی در زندگی روزمره دارد و برای تولید طیف گسترده‌ای از انواع بسته‌بندی استفاده می‌شود. PET همچنین بیشترین میزان بازیافت را در میان پلاستیک‌ها دارد و به‌راحتی از طریق نماد مشخص روی اغلب بسته‌بندی‌ها قابل شناسایی است.

یه فلش در اضلاع مثلث و عدد 01 و علامت PET
علامت PET

ویژگی‌های PET چیست؟

PET مقاومت خوبی در برابر خزش، خستگی، سایش و تغییر ابعاد دارد، میزان سایش آن کم و سختی آن بالا است. در میان پلاستیک‌های ترموپلاستیک، PET یکی از بالاترین میزان چقرمگی را دارد. خواص عایق الکتریکی آن مناسب است و تغییرات دما تاثیر کمی بر آن می‌گذارد. این پلیمر غیرسمی، پایدار در برابر عوامل محیطی و از نظر شیمیایی پایدار است. جذب آب آن کم بوده و در برابر اسیدهای ضعیف و حلال‌های آلی مقاوم است، اما در برابر آب داغ و قلیاها مقاومت خوبی ندارد.

نمودار خواص PET
خواص PET

رزین PET به‌صورت ماده‌ای نیمه‌شفاف شیری‌رنگ یا کاملا شفاف و بی‌رنگ دیده می‌شود. PET در حالت پایدار، رزینی بی‌رنگ و نیمه‌بلوری است که نسبت به بسیاری از پلیمرهای مشابه، تبلور آهسته‌تری دارد. این پلیمر استحکام بالا، مقاومت ضربه‌ای مناسب و خاصیت جذب رطوبت دارد.

در صورت سرد شدن سریع از حالت مذاب، ساختاری آمورف و شفاف ایجاد می‌کند و با حرارت‌دهی مجدد بالاتر از دمای خاصی، فرآیند تبلور سرد در آن رخ می‌دهد. در ادامه برخی از مهم‌ترین ویژگی‌های PET معرفی شده است.

  • نشکن: استحکام کششی و ضربه‌ای بالا باعث می‌شود PET در عین انعطاف‌پذیری، مقاوم باشد و در صورت افتادن نشکند.
  • ماندگاری بالا: سرعت تجزیه این ماده بسیار آهسته است و در طبیعت باقی می‌ماند.
  • فرآوری آسان: رزین PET به‌راحتی در قالب‌های متنوع شکل می‌گیرد و به همین دلیل برای طراحی‌های متمایز بازاریابی و برندینگ مناسب است.
  • سبک‌وزن: PET وزن بسیار کمی دارد و در نتیجه هزینه‌های حمل‌ونقل و میزان انتشار کربن را کاهش می‌دهد.
  • شفاف: شفافیت بالای PET نمایش و بازاریابی برخی مواد غذایی و نوشیدنی‌ها را آسان می‌کند.
  • قابلیت بازیافت بالا: PET بیشترین میزان بازیافت را در جهان دارد و می‌توان آن را به کاربردهایی مشابه رزین نو تبدیل کرد.
  • ردپای کربنی کمتر: در صورت بازیافت صحیح، بطری‌های PET می‌توانند ردپای کربنی کمتری نسبت به سایر انواع بسته‌بندی داشته باشند.
  • عایق بودن: مقاومت PET در برابر رطوبت و گازها، آن را به گزینه‌ای ایده‌آل برای نگهداری مواد غذایی و نوشیدنی‌ها تبدیل می‌کند.

یادگیری شیمی دوازدهم با فرادرس

برای درک بهتر این موضوع که PET چیست و چگونه ساخته می‌شود، ابتدا باید با مفاهیمی چون مولکول‌های آلی، واکنش‌های آلی، گروه‌های عاملی، هیدروکربن‌ها و استرها آشنا شوید. پیشنهاد می‌کنیم برای یادگیری بهتر این فرمول‌ها به مجموعه فیلم آموزش دروس پایه دوازدهم بخش شیمی مراجعه کنید که با زبانی ساده به بررسی این مباحث می‌پردازد.

مجموعه فیلم اموزش دروس پایه دوازدهم فرادرس
برای مشاهده مجموعه فیلم اموزش دروس پایه دوازدهم فرادرس، روش تصویر کلیک کنید.

همچنین با مشاهده فیلم‌های آموزش فرادرس که لینک آن‌ها در ادامه آورده شده است، می‌توانید به آموزش‌های بیشتری در زمینه PET دسترسی داشته باشید.

PET چگونه ساخته می‌شود؟

در قسمت قبل آموختیم PET چیست. PET یک پلی‌استر است که از کنار هم قرار گرفتن واحدهای استری به دست می‌آید. یکی از روش‌های تولید استرها، ترکیب اسیدهای کربوکسیلیک آلی و الکل‌ها است. برای تولید یک پلی‌استر باید از ترکیب یک دی اسید و دی الکل استفاده شود. دی اسید، دارای دو گروه کربوکسیلیک اسید و دی الکل دارای دو گروه هیدروکسید است.

اگر تا این قسمت از مطلب را مطالعه کرده‌اید، با PET و خواص و ساختار آن آشنا شده‌اید. در ادامه مطلب نیز به بررسی بیشتر این ماده می‌پردازیم.

پیشنهاد می‌کنیم برای دسترسی همیشگی به این نوع مطالب در موبایل خود، اپلیکیشن رایگان مجله فرادرس را نصب کنید تا همواره به مطالب مجله دسترسی داشته باشید.

برای نصب اپلیکیشن رایگان مجله فرادرس، کلیک کنید.

در تولید PET از ترکیب اتیلن گلیکول به عنوان دی الکل و ترفتالئیک اسید به عنوان دی اسید استفاده می‌شود. این مواد مونومرهای استفاده شده برای ساخت PET هستند و در تصویر زیر نمایش داده شده‌اند.

ساختار مونومرهای سازنده PET
مونومرهای سازنده PET

در ترکیب این مواد، یک گروه الکلی اتیلن گلیکول با یک گروه اسیدی ترفتالئیک اسید، واکنش حذف آب انجام داده و به هم متصل می‌شوند. این عمل با هر گروه هیدروکسید و کربوکسیلیک این دو ماده تکرار می‌شود تا پلی اتیلن ترفتالئات به شکل پلیمری تشکیل می‌شود. برای به دست آوردن این دو ماده اولیه اتیلن گلیکول و ترفتالیک اسید، از مواد تشکیل دهنده نفت خام و واکنش‌های شیمیایی آلی استفاده می‌شود. این واکنش‌ها در ادامه معرفی می‌شوند.

تولید ترفتالیک اسید

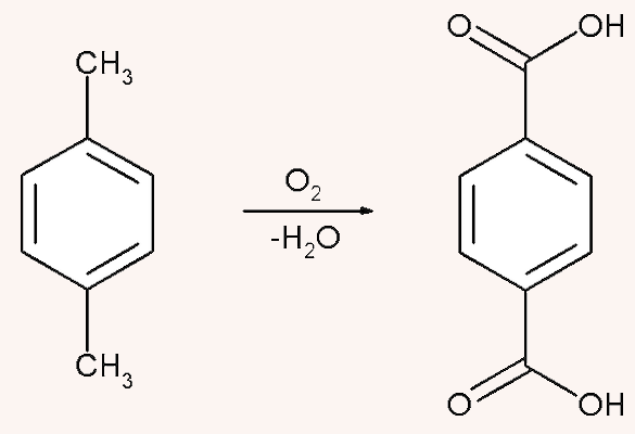
ماده شیمیایی ترفتالیک اسید دارای دو گروه کربوکسیلیک اسید (R-COOH) است و به عنوان یکی از مواد تشکیل دهنده پلی اتیلن ترفتالات یا PET استفاده می‌شود. برای تولید این ماده، از ماده اولیه پارازایلن استفاده می‌شود که ساختار شیمیایی آن به شکل زیر است.

ساختار ماده پارازایلن
ساختار پارازایلن

همانطور که در تصویر بالا مشاهده می‌کنید، پارازایلین دارای دو گروه متیل و یک حلقه ۶ تایی کربنی است. اگر بتوان طی شرایط مناسب، این ماده را با یک اکسنده قوی مانند پتاسیم پرمنگنات با فرمول شیمیایی (KMnO4KMnO_4) واکنش داد، طی واکنش حذف آب، به ترفتالیک اسید تبدیل می‌شود. در این واکنش، عدد اکسایش کربن، از ۳- به ۳+ تبدیل می‌شود. این واکنش در تصویر زیر نمایش داده شده است.

تولید ترفتالیک اسید از پارازایلن
واکنش تولید ترفتالیک اسید از پارازایلن

سرعت انجام واکنش شیمیایی بالا حتی در حضور پتاسیم پرمنگنات غلیظ نیز پایین است. به همین دلیل باید از یک کاتالیزگر مناسب استفاده شود تا سرعت آن بهینه شود. برای این واکنش، از هوا به عنوان کاتالیزگر و افزایش دما استفاده می‌شود. همچنین،‌پتاسیم پرمنگنات طی این واکنش به منگنز دی اکسید تبدیل شده و عدد اکسایش منگنز در آن تغییر می‌کند.

تولید اتیلن گلیکول

ماده شیمیایی اتیلن گلیکول دارای گروه هیدروکسید است و به عنوان یکی از مواد تشکیل دهنده پلی اتیلن ترفتالات یا PET استفاده می‌شود. برای تولید این ماده، از ماده اولیه اتن استفاده می‌شود که ساختار شیمیایی آن به شکل زیر است.

ساختار مولکول اتن
مولکول اتن

اتن از دو کربن با پیوند دوگانه تشکیل شده و ساده ترین فرم آلکن است. آلکن‌ها در شرایط مناسب می‌توانند طی واکنش‌های افزایشی به آلکان‌ها تبدیل شوند. بدین ترتیب، اگر اتن با پتاسیم پرمنگنات رقیق واکنش‌دهد، طی یک واکنش افزلیشی مناسب می‌تواند به اتیلن گلیکول تبدیل شود. عدد اکسایش کربن‌های اتن در این واکنش از ۲- به ۱- تبدیل می‌شود. این واکنش در تصویر زیر نمایش داده شده است.

واکنش تولید اتیلن گلیکول از اتن
واکنش تولید اتیلن گلیکول از اتن

روش‌های دیگر تولید PET چیست؟

یکی از روش‌های تولید PET استفاده از بیس(۲-هیدروکسی‌اتیل) ترفتالیت است که یا از واکنش استریفیکاسیون بین اسید ترفتالیک و اتیلن گلیکول با تولید آب، یا از واکنش ترانس‌استریفیکاسیون بین اتیلن گلیکول و دی‌متیل ترفتالات با تولید متانول حاصل می‌شود. PET همچنین می‌تواند از بازیافت خود این پلیمر تولید شود. پلیمریزاسیون نهایی از طریق واکنش پلیمریزاسیون تراکمی انجام می‌گیرد و آب محصول جانبی آن است.

پیشنهاد می‌کنیم برای آشنایی بیشتر روش‌های بازیافت پلیمرها و نقش آن‌ها در محیط زیست، فیلم آموزش پلیمرها و محیط زیست فرادرس که لینک آن در ادامه آورده شده است را مشاهده کنید.

روش ترانس استریفیکاسیون

در این روش، دی‌متیل ترفتالات با اتیلن گلیکول واکنش می‌دهد و پس از آن پلیمریزاسیون تراکمی انجام می‌شود. این روش در گذشته به‌دلیل خلوص پایین ترفتالیک اسید با خلوص بالا رواج بیشتری داشت. در این روش، متانول با استفاده از تقطیر استخراج می‌شود تا واکنش پیش برود. تصویر زیر، این واکنش را نمایش می‌دهد.

واکنش ترانس استریفیکاسیون تولید PET
واکنش ترانس استریفیکاسیون تولید PET

پیشنهاد می‌کنیم برای درک بهتر این روش و روش‌های مشابه آن، مطلب روش‌های سنتز پلیمر مجله فرادرس را مطالعه کنید.

روش افزودن اتیلن اکسید

در این روش، اتیلن اکسید مستقیما با ترفتالیک اسید با خلوص بالا واکنش می‌دهد. اگرچه این روش از نظر تئوری اقتصادی‌تر است، اما به دلیل مشکلات ایمنی و کنترلی، هنوز کاربرد گسترده‌ای پیدا نکرده است. از آنجا که اتیلن گلیکول از اتیلن اکسید تولید می‌شود، می‌توان پلی اتیلن ترفتالات (PET) را به‌طور مستقیم با واکنش دادن اتیلن اکسید با ترفتالیک اسید با خلوص بالا تولید کرد.

در این روش ابتدا بیس(۲-هیدروکسی‌اتیل) ترفتالات به‌دست می‌آید و سپس با انجام واکنش پلیمریزاسیون تراکمی، PET ساخته شود. به این روش «روش افزودن اتیلن اکسید» گفته می‌شود. ساختار بیس(۲-هیدروکسی‌اتیل) ترفتالات (BHET) در ادامه آورده شده است.

ساختار مولکول بیس ۲- هیدروکسی اتیل ترفتالات
ساختار مولکول بیس ۲- هیدروکسی اتیل ترفتالات

این فرآیند مرحله تولید اتیلن گلیکول از اتیلن اکسید را حذف می‌کند و در نتیجه باعث کاهش هزینه و افزایش سرعت واکنش می‌شود و از این نظر نسبت به روش پلیمریزاسیون تراکمی مستقیم برتری دارد، اما این واکنش مشکلاتی را ایجاد می‌کند و این روش تا کنون به‌طور گسترده مورد استفاده قرار نگرفته است. این مشکلات در ادامه معرفی شده است.

  • اتیلن اکسید به‌راحتی دچار باز شدن حلقه و تشکیل پلی‌اترها می‌شود.
  • این واکنش، گرمای واکنش بسیار بالایی در حدود ۱۰۰ کیلوژول بر مول تولید می‌کند.
  • اتیلن اکسید دمای معمولی به صورت گاز است و به‌ سادگی تجزیه حرارتی می‌شود که حمل‌ونقل و نگهداری آن را دشوار می‌کند.

کاربردهای PET چیست؟

پلیمر PET کاربردهای گسترده‌ای در تولید ظروف پلاستیکی مصرفی، تولید پارچه ، تولید قطعات مهندسی و .. دارد. این پلیمر به دلیل قابلیت بازیافت آن یکی از پرکاربردترین انواع پلیمر است.

بطری پلاستیکی و الیاف رنگی - کاربرد PET چیست

در ادامه، رایج‌ترین کاربردهای این ماده را توضیح می‌دهیم.

الیاف مصنوعی

در مراحل اولیه توسعه، PET عمدتا برای تولید الیاف مصنوعی استفاده می‌شد و حدود ۷۰ درصد مصرف آن را تشکیل می‌داد. پلی‌استر که پرمصرف‌ترین الیاف مصنوعی جهان است، از PET تولید می‌شود. الیاف کوتاه آن با پنبه، پشم یا کتان ترکیب می‌شوند و در تولید منسوجات پوشاک و خانگی کاربرد دارند. الیاف فیلامنت PET نیز در پوشاک و کاربردهای صنعتی مانند پارچه فیلتر، تسمه نقاله، کمربند ایمنی و طناب چتر نجات استفاده می‌شوند.

فیلم‌ها و ورق‌های PET

فیلم‌ها و ورق‌های PET در بسته‌بندی مواد غذایی، دارویی، بهداشتی و استریل، بسته‌بندی دقیق تجهیزات الکترونیکی و ابزارهای حساس، نوارهای صوتی و تصویری، فیلم‌های عکاسی و سینمایی، کارت‌های مغناطیسی و مدارهای چاپی انعطاف‌پذیر استفاده می‌شوند.
این فیلم‌ها شفاف، مقاوم در برابر روغن، بهداشتی و دارای دامنه دمای کاری گسترده هستند، اما خاصیت دوخت حرارتی ضعیفی دارند و معمولا باید با لایه‌های دیگر ترکیب شوند.

تولید بطری ها

PET به‌راحتی می‌تواند به حالت آمورف و بسیار شفاف برسد و سپس به‌وسیله کشش دو‌محوره به بطری‌های مقاوم و شفاف تبدیل شود. بطری‌های PET شفافیت بالا و خواص سدکنندگی مناسبی دارند و برای بسته‌بندی نوشیدنی‌ها، روغن خوراکی، مواد غذایی، دارویی، آرایشی و بهداشتی به‌طور گسترده استفاده می‌شوند.

پلاستیک های مهندسی

PET تقویت‌شده در قطعات الکتریکی و الکترونیکی، قطعات خودرو، قطعات مکانیکی مانند چرخ‌دنده‌ها، پوسته پمپ‌ها و ابزارهای صنعتی کاربرد دارد. با افزودن الیاف شیشه و مواد تسریع‌کننده تبلور، PET به رزین‌های مهندسی تبدیل می‌شود که در قالب‌گیری تزریقی قطعات الکتریکی و مکانیکی مورد استفاده قرار می‌گیرند.

سایر کاربردها

PET در کابل‌های زیردریایی به‌عنوان مانع رطوبتی، در فیلم‌های صنعتی، طناب‌ها، سیلندرهای فشار قوی، چاپ سه‌بعدی به‌صورت PETG، تولید اکلیل، نوارچسب‌ها، کاغذهای مقاوم به آب و ساخت پیش‌فرم بطری کاربرد دارد. برخی دیگر از کاربردهای این ماده در ادامه معرفی شده است.

  • بطری‌های نوشیدنی: نوشابه‌های گازدار، آب، نوشیدنی‌های ورزشی، آبمیوه‌ها، چای و قهوه آماده مصرف
  • بطری‌های مواد غذایی: روغن‌های خوراکی، شیر و فرآورده‌های لبنی، سس‌ها، چاشنی‌ها و سایر اقلام غذایی
  • محصولات خانگی: مواد شوینده و لباسشویی، پاک‌کننده‌ها، ضدعفونی‌کننده دست و سایر محصولات بهداشتی
  • مراقبت شخصی: شامپو، صابون، شوینده‌های صورت، شوینده‌های بدن، لوسیون‌ها، عطرها و محصولات آرایشی
  • بسته‌بندی دارویی: بلیسترها، ویال‌ها، بطری‌ها و سایر ظروف
  • ظروف ترموفرم: سینی‌های محصولات تازه، بسته‌بندی غذاهای قابل استفاده در مایکروویو و فر

بازیافت PET

بازیافت بطری‌های PET به دلیل ارزش بالای این رزین بسیار رایج است و محصول بازیافتی با نام rPET شناخته می‌شود. PET می‌تواند به‌صورت مکانیکی یا شیمیایی بازیافت شود و حتی به‌عنوان منبع انرژی مورد استفاده قرار گیرد. همچنین آنزیم‌هایی مانند PETase و MHETase، توانایی تجزیه PET را دارند و به‌عنوان راهکاری نوین برای مدیریت پسماندهای پلاستیکی مورد توجه قرار گرفته‌اند.

سطل زباله حاوی بطری پلاستیکی و علامت بازیافت

در ادامه روش‌های بازیافت فیزیکی و شیمیایی PET را توضیح می‌دهیم.

بازیافت فیزیکی

در این روش، ضایعات PET خرد، شست‌وشو، خشک و سپس ذوب و گرانول می‌شوند. بازیافت فیزیکی به فرآیندی گفته می‌شود که در آن محصولات پسماند پلی اتیلن ترفتالات پس از خرد شدن، جداسازی، شستشو و خشک شدن به پرک‌های کاملا تمیز تبدیل می‌شوند. این پرک‌ها سپس پلاستیک‌سازی و به صورت گرانول درآمده و به چیپس‌های پلی اتیلن ترفتالات تبدیل می‌شوند که می‌توان آن‌ها را به‌صورت ترموپلاستیک برای تولید بطری‌های بازیافتی قالب‌گیری کرد.

کاهش ویسکوزیته ذاتی در این فرآیند یکی از چالش‌های اصلی است و معمولا نیاز به پلیمریزاسیون حالت جامد برای جبران آن وجود دارد. زردشدگی و افت خواص مکانیکی از معایب بازیافت فیزیکی هستند. پیچیدگی آلاینده‌ها که فرآیند بازیافت فیزیکی پلی اتیلن ترفتالات را دشوار می‌کند، تغییر رنگ و کاهش کیفیت عملکرد محصول در هر چرخه بازیافت، و تولید الیگومرهای حلقوی و خطی در طول فرآیند که می‌تواند قابلیت چاپ و رنگ‌پذیری محصول نهایی را کاهش دهد از معایب این روش هستند. همچنین پلی اتیلن ترفتالات بازیافتی فیزیکی به دلیل واکنش‌های پیوند عرضی درون‌مولکولی و اکسیداسیون تمایل به زرد شدن دارد.

بازیافت شیمیایی

در قسمت‌های قبل آموختیم PET چیست. در سنتز پلی اتیلن ترفتالات، ابتدا ترفتالیک اسید خالص با اتیلن گلیکول وارد واکنش تراکم می‌شود یا دی‌متیل ترفتالات با اتیلن گلیکول وارد واکنش استریفیکاسیون می‌شود و محصول حاصل، بیس(۲-هیدروکسی‌اتیل) ترفتالات است، که سپس از طریق پلیمریزاسیون تراکمی بین دی‌استرها به پلی اتیلن ترفتالات تبدیل می‌شود.

ماهیت بازیافت شیمیایی بطری‌های پلی اتیلن ترفتالات، واکنش «دپلیمره شدن» (Depolymerization) این ماده است که در آن پلی اتیلن ترفتالات به‌طور کامل به مونومرها مانند ترفتالیک اسید، دی‌متیل ترفتالات، بیس(۲-هیدروکسی‌اتیل) ترفتالات و اتیلن گلیکول یا به‌طور جزئی به الیگومرها تجزیه می‌شود. مواد شیمیایی رایج برای دپلیمره شدن پلی اتیلن ترفتالات شامل آب (طی هیدرولیز)، متانول (الکل‌کافت) و اتیلن گلیکول (گلیکولیز) هستند.

در فرآیند بازیافت شیمیایی پلی اتیلن ترفتالات، قابلیت فرآیندپذیری محصولات نهایی، مانند قابلیت چاپ و رنگ‌پذیری، در سطح مورد انتظار حفظ می‌شود و هیچ زرد شدگی در محصولات پلی اتیلن ترفتالات طی این فرآیند رخ نمی‌دهد. هزینه تولید پلی اتیلن ترفتالات از طریق دپلیمره شدن شیمیایی بالاتر از تولید مستقیم پلی اتیلن ترفتالات است، بنابراین بدون انگیزه‌های اقتصادی، قیمت پلی اتیلن ترفتالات بازیافتی شیمیایی بیشتر خواهد بود. برای اقتصادی و عملی بودن این روش، تولید در مقیاس وسیع لازم است.

بازیافت شیمیایی PET با استفاده از متانول

بازیافت شیمیایی PET با استفاده از متانول یکی از روش‌های کارآمد است که امروزه رواج دارد. یکی از چالش‌های این روش بازیافت، تهیه متانول است. برای تهیه متانول می‌توان از ترکیب گاز کربن مونوکسید و هیدروژن در دمای مناسب و با استفاده از کاتالیزگر استفاده کرد.

برای تولید متانول با این روش، نیاز است گاز کربن مونوکسید و هیدروژن با استفاده از متان و آب تولید شوند. در این روش، متان و آب در حالت گازی و با استفاده از کاتالیزگر، با سرعتی آهسته و بازدهی بسیار کم، کربن مونوکسید و هیدروژن را تولید می‌کنند.

بهترین روش برای تولید متانول مورد نیاز برای بازیافت PET، قرار دادن متانول در حضور اکسیژن کافی و کاتالیزگر مناسب است. نمودار زیر، روش‌های تولید متانول را نمایش می‌دهد.

نمودار فرآیند تولید متانول شیمی دوازدهم
فرآیند تولید متانول

تقویت PET چیست و چرا انجام می‌شود؟

در این مطلب از مجله فرادرس آموختیم PET چیست. PET خالص مقاومت حرارتی بالایی ندارد، اما پس از تقویت، این ویژگی به‌ شکل قابل توجهی بهبود می‌یابد و در دماهای بالا نیز عملکرد مکانیکی مناسبی دارد. PET دیرسوز است و هنگام سوختن با شعله زردرنگ و همراه با چکه کردن می‌سوزد.

برخی از روش‌های تقویت و بهبود ساختار PET در ادامه توضیح داده شده است.

تقویت با ترکیب پلیمرها

در این روش، دو یا چند پلیمر از جمله پلی اتیلن ترفتالات در نسبت‌های مناسب و تحت دما و تنش برشی مشخص با هم ترکیب می‌شوند تا آلیاژها یا مخلوط‌های پلیمری با خواص جدید تشکیل شود. سازگاری بین پلیمرها نقش کلیدی در تهیه این نوع پلیمرها را دارد.

تقویت با ماده پلی اولفین دار

روش تقویت پلی‌اولفین‌دار پلی اتیلن ترفتالات شامل ترکیب پلی اتیلن ترفتالات با پلیمرهای دیگر مانند پلی‌اتیلن، پلی‌پروپیلن یا پلی‌استایرن است که به‌طور طبیعی با هم ناسازگارند. برای دستیابی به خواص مکانیکی و حرارتی بهینه، از ماده سازگارکننده استفاده می‌شود که چسبندگی بین فازهای مختلف را افزایش می‌دهد و مقاومت ضربه‌ای، مقاومت حرارتی و پایداری در برابر رطوبت را بهبود می‌بخشد. بدون سازگارکننده، این ترکیب‌ها دارای پیوند بین‌سطحی ضعیف و خواص مکانیکی پایین هستند، اما با افزودن مواد واکنشی مانند کوپلیمر استایرن و گلیسیدیل متاکریلات، اتصال بین پلیمرها تقویت شده و خواص نهایی آلیاژ به شکل قابل توجهی بهبود می‌یابد.

تقویت پلی‌استری

روش تقویت پلی‌استری پلی اتیلن ترفتالات شامل ترکیب این پلیمر با سایر پلاستیک‌های مهندسی مانند پلی‌بوتیلن ترفتالات و پلی‌کربنات است تا خواص مکانیکی و ضربه‌پذیری آن بهبود یابد.

بر اساس رای ۱ نفر
آیا این مطلب برای شما مفید بود؟
اگر پرسشی درباره این مطلب دارید، آن را با ما مطرح کنید.
منابع:
czappwikipediauseonstudyrecyclingtodayمجله فرادرس
PDF
مطالب مرتبط
نظر شما چیست؟

نشانی ایمیل شما منتشر نخواهد شد. بخش‌های موردنیاز علامت‌گذاری شده‌اند *