فعالیت نوری چیست؟ – در شیمی و به زبان ساده

۶۹۶۶
۱۴۰۴/۰۴/۳۱
۱۲ دقیقه
PDF
آموزش متنی جامع
نمونه سوال و تمرین + پاسخ تشریحی
امکان دانلود نسخه PDF

«فعالیت نوری» (Optical Activity) توانایی مولکول‌های کایرال در چرخاندن نور قطبیده است. در این مطلب می‌خواهیم در مورد این ویژگی مولکول‌ها صحبت کنیم. همچنین در مورد نحوه اندازه‌گیری میزان چرخش نوری نیز صحبت خواهیم کرد.

آنچه در این مطلب می‌آموزید:
  • نور قطبیده و فرق آن با نور معمولی را یاد می‌گیرید.
  • می‌آموزید مولکول کایرال و مرکز کایرال را چگونه شناسایی کنید.
  • یاد خواهید گرفت فعالیت نوری را چگونه اندازه‌گیری و محاسبه کنید.
  • با مفهوم خلوص نوری و نحوه سنجش آن آشنا می‌شوید.
  • می‌آموزید فعالیت نوری چه کاربردهایی در شیمی و زیست‌شناسی دارد.
  • تشخیص می‌دهید کدام قندها و آمینواسیدها فعال نوری هستند.
فعالیت نوری چیست؟ – در شیمی و به زبان سادهفعالیت نوری چیست؟ – در شیمی و به زبان ساده
997696

فعالیت نوری چیست ؟

نور قطبیده هنگام عبور از برخی ترکیبات خاص جهت‌گیری می‌کند و به سمتی منحرف می‌شود. به این مفهوم فعالیت نوری و به مولکول‌هایی با این توانایی «فعال نوری» (Optically Active) گفته می‌شود.

فعالیت نوری

نور قطبیده چیست ؟

در منابع نور معمولی، میدان الکتریکی در تمامی جهات نوسان می‌کند. با عبور نور معمولی از فیلتر پلاریزه‌کننده، تنها نور نوسان‌کننده در یک صفحه مشخص گذر می‌کند. به این نور که تنها در یک جهت نوسان می‌کند، «نور قطبیده» (Polarized) گفته می‌شود. این گفته را می‌توانید در تصویر زیر مشاهده کنید.

نور پلاریزه
نور قطبیده تنها در یک جهت نوسان می‌کند.

محلول های فعال نوری

محلول‌های فعال نوری در حقیقت «ایزومرهای نوری» (Optical Isomer) یا «انانتیومرهایی» (Anantiomer) هستند که نوع و تعداد اتم‌ها و پیوندهای یکسانی دارند اما مولکول سه‌بعدی آن‌ها با یکدیگر متفاوت است. همان‌طور که می‌دانید انانتیومرها تصاویر آینه‌ای یکدیگر هستند به‌صورتی که بر هم منطبق نمی‌شوند. به این ویژگی «کایرالیته» (Chirality) می‌گویند.

انانتیومر

انانتیومرها معروف‌ترین مولکول‌ها با فعالیت نوری هستند. بارزترین مثال برای درک رابطه بین دو انانتیومر دو دست راست و چپ انسان است. دو دست ما تصاویر آينه‌ای یکدیگر هستند اما با هیچ روشی نمی‌توان آن‌ها را بر هم منطبق کرد. همچنین ایزومرهای نوری در خود محور تقارن ندارند.

ایزومرهای نوری اساسا ویژگی‌های یکسانی دارند، برای مثال دارای نقطه ذوب و نقطه جوش برابری هستند اما در چند ویژگی نیز با یکدیگر تفاوت دارند.

  • مکانیسم‌های زیستی
  • فعالیت نوری

مثلا داروهایی وجود دارند که تنها دارای یکی از فرم‌های انانتیومری مولکول سازنده خود هستند. دارویی به نام «اتامبوتول» (Ethambutol) وجود دارد که یکی از انانتیومرهای آن در درمان سل مورد استفاده قرار می‌گیرد.این در حالی است که انانتیومر دیگر باعث نابینایی انسان می‌شود. فعالیت نوری درواقع برهم‌کنش این انانتیومرها با نور قطبیده است.

مولکول راست‌ گرد و چپ‌ گرد

به انانتیومری که نور قطبیده را در جهت مثبت یا ساعت‌گرد بچرخاند، «راست‌گرد» (Dextrorotary) می‌گویند و آن را با + یا dd نمایش می‌دهند. به همین صورت به انانتیومری که نور قطبیده را در جهت منفی یا چپ‌گرد بچرخاند، «چپ‌گرد» (Levorotary) گفته می‌شود و آن را با - یا ll نشان می‌دهند.

انانیتومر راست گرد
چرخش نوری در یک زوج انانتیومر محالف جهت یکدیگر است.

مخلوط راسمیک

زمانی که در یک ترکیب مقادیر برابر از انانتیومر چپ‌گرد و راست‌گرد وجود داشته باشد، به آن «مخلوط راسمیک» (Racemic Mixrure) می‌گویند. از آنجا که دو انانتیومر نور را با مقادیر یکسان و در جهت‌های مخالف می‌چرخانند، مخلوط راسمیک از نظر نوری غیرفعال است و تاثیری روی نور قطبیده ندارد.

مخلوط راسمیک
مخلوط راسمیک از نظر نوری غیرفعال است.

رابطه انانتیومرها

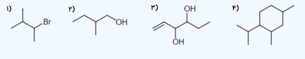
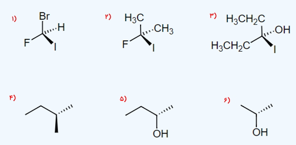
گفتیم که دو انانتیومر نور قطبیده را در دو جهت مخالف و با مقدار یکسان می‌چرخانند و دارای دو نوع راست‌گرد و چپ‌گرد هستند. باید توجه داشته باشید که راست‌گرد بودن و چپ‌گرد بودن هیچ ارتباطی با «پیکربندی» (Configuration) یک مولکول که با RR و SS نشان داده می‌شود، ندارند. این پیکربندی نحوه قرار گیری اتم‌ و گروه‌های حول یک مرکز کایرال را مشخص می‌کنند. یعنی یک انانیتومر SSمی‌تواندچپ‌گردیاراست‌گردباشدونمی‌توانتنهابااستنادبهپیکربندیاینرامشخصکرد.درتصویربالادوانانتیومرمتفاوترامشاهدهمی‌کنید.توجهداشتهباشیدکهگلیسرآلدهیدباپیکربندیSراست‌گرداماآلانینباپیکربندیمی‌تواند چپ‌گرد یا راست‌گرد باشد و نمی‌توان تنها با استناد به پیکربندی این را مشخص کرد. در تصویر بالا دو انانتیومر متفاوت را مشاهده می‌کنید. توجه داشته باشید که گلیسرآلدهید با پیکربندی S راست‌گرد اما آلانین با پیکربندیRراستگرداست.تنهاچیزیکهمی‌تواندراینرابطهبااطمینانبیانکردایناستکهاگرانانتیومریراست‌گردباشد،انانتیومردیگرچپ‌گردخواهدبودوبالعکس.مثالانانتیومردرزیردوزوجمولکولآوردهشده‌است.چهرابطه‌ایبینمولکول‌هایهرزوجوجوددارد؟مثالاولایندومولکولانانتیومریکدیگرهستند.زیراتصویرآینه‌اییکدیگروبرهمنامنطبقهستند.مثالدومازآنجاکهمولکول‌هایاینزوجبرهممنطبقنمی‌شوندوتصویرآینه‌ایهمهستند،انانتیومریکدیگردرنظرگرفتهمی‌شوند.اندازهگیریچرخشنوریبرایاندازه‌گیرچرخشنوریاز«پلاریمتر»(Polarimeter)استفادهمی‌شودوایناندازه‌گیریبهعواملگوناگونیازجملهغلظتنمونه،دما،طولظرفنمونهوطولموجنورعبوریبستگیدارد.ایناندازه‌گیرینتایجمثبتومنفیبهدستمی‌دهدکهبه‌ترتیبنشان‌دهندهانانیتومرساعت‌گردوپادساعت‌گرداست.اندازه‌گیریاستاندارد،مقداریرابهدستمی‌دهدکهبانامچرخشویژهشناختهمی‌‌شود.درتصویرزیراجزاییکپلاریمتربسیارسادهرامشاهدهمی‌کنید.باعبورنورازنمونه‌ایکهقابلیتچرخشنورقطبیدهرادارد،نوراندکیکم‌سومی‌شودزیرادیگربه‌‌صورتمستقیمازفیلترعبورنمی‌کند.چرخشنوریويژهشرایطاستاندارداندازه‌گیریچرخشنوریشاملطولظرفنمونهبهاندازه۱سانتی‌متروغلظتنمونهبهاندازه۱گرمبرمیلی‌لیتراست.چرخشنوریکمیتیذاتیاست.دریکمحلولمی‌توانمقادیرآنرابهکمکفرمولزیرمحاسبهکرد.راست گرد است. تنها چیزی که می‌توان در این رابطه با اطمینان بیان کرد این است که اگر انانتیومری راست‌گرد باشد، انانتیومر دیگر چپ‌گرد خواهد بود و بالعکس. مثال انانتیومر در زیر دو زوج مولکول آورده شده‌ است. چه رابطه‌ای بین مولکول‌های هر زوج وجود دارد؟ مثال اول این دو مولکول انانتیومر یکدیگر هستند. زیرا تصویر آینه‌ای یکدیگر و بر هم نامنطبق هستند. مثال دوم از آنجا که مولکول‌های این زوج بر هم منطبق نمی‌شوند و تصویر آینه‌ای هم هستند، انانتیومر یکدیگر در نظر گرفته می‌شوند. اندازه گیری چرخش نوری برای اندازه‌گیر چرخش نوری از «پلاریمتر» (Polarimeter) استفاده می‌شود و این اندازه‌گیری به عوامل گوناگونی از جمله غلظت نمونه، دما، طول ظرف نمونه و طول موج نور عبوری بستگی دارد.این اندازه‌گیری نتایج مثبت و منفی به دست می‌دهد که به‌ترتیب نشان‌دهنده انانیتومر ساعت‌گرد و پادساعت‌گرد است. اندازه‌گیری استاندارد، مقداری را به دست می‌دهد که با نام چرخش ویژه شناخته می‌‌شود. در تصویر زیر اجزای یک پلاریمتر بسیار ساده را مشاهده می‌کنید. با عبور نور از نمونه‌ای که قابلیت چرخش نور قطبیده را دارد، نور اندکی کم‌سو می‌شود زیرا دیگر به‌‌صورت مستقیم از فیلتر عبور نمی‌کند. چرخش نوری ويژه شرایط استاندارد اندازه‌گیری چرخش نوری شامل طول ظرف نمونه به اندازه ۱ سانتی‌متر و غلظت نمونه به اندازه ۱ گرم بر میلی‌لیتر است. چرخش نوری کمیتی ذاتی است. در یک محلول می‌توان مقادیر آن را به کمک فرمول زیر محاسبه کرد.[alpha]^T_lambda = dfrac{alpha}{Icdot c}$$ $$[alpha]چرخشنوریویژهدرواحدسانتی‌مترمکعببردسی‌متردرگرم\: چرخش نوری ویژه در واحد سانتی‌متر مکعب بر دسی‌متر در گرم frac{cm^3}{dm^{ }.g^{}}$$ $$lambdaطولموجدرواحدنانومتر\: طول موج در واحد نانومتر{alpha}زاویهچرخشیکماده\: زاویه چرخش یک مادهTدما\: دماIطولظرفنمونهدرواحددسی‌متر\: طول ظرف نمونه در واحد دسی‌مترcغلظتدرواحدگرمبرمولمثالچرخشنوریویژهحالکهمی‌دانیمچرخشنوریویژهچیست،می‌خواهیمبابررسیتعدادیمثالمفهومآنراروشن‌ترکنیم.مثالاولگفتیمکهچرخشنوریویژهویژگیذاتییکمولکولاست،بنابراینباداشتنچرخشنوریویژهمی‌توانمولکول‌هاراازیکدیگرتشخیصدادومتمایزکرد.همچنیناگرمیزانچرخشنورییکانانتیومرراداشتهباشیمنیازیبهاندازه‌گیریانانتیومردیگرنیست.بهمثالزیرتوجهکنید.اگر«آر۲متیل۱بوتانول»چرخشنوریویژهبرابربا۵٫۷۵درجهداشتهباشد،می‌توانگفتکههمینمولکولباپیکربندی\: غلظت در واحد گرم بر مول مثال چرخش نوری ویژه حال که می‌دانیم چرخش نوری ویژه چیست، می‌خواهیم با بررسی تعدادی مثال مفهوم آن را روشن‌تر کنیم. مثال اول گفتیم که چرخش نوری ویژه ویژگی ذاتی یک مولکول است، بنابراین با داشتن چرخش نوری ویژه می‌توان مولکول‌ها را از یکدیگر تشخیص داد و متمایز کرد. همچنین اگر میزان چرخش نوری یک انانتیومر را داشته باشیم نیازی به اندازه‌گیری انانتیومر دیگر نیست. به مثال زیر توجه کنید. اگر «آر-۲-متیل ۱-بوتانول» چرخش نوری ویژه برابر با ۵٫۷۵ درجه داشته باشد، می‌توان گفت که همین مولکول با پیکربندیSچرخشنوریویژهبرابربا۵٫۷۵درجهدارد.مثالدومچرخشنوریمشاهدهشدهاز۱۰گرمآر۲متیل۱بوتانولدرمحلولی۵۰میلی‌لیتریدر۲۰درجهسانتی‌گرادوظرفپلاریمتر۲۰سانتی‌متریبرابربا۲٫۳درجهاست.بااستفادهازاطلاعاتدادهشده،چرخشنوریویژهآنرامحاسبهکنید.پاسخپیش‌تربهرابطهچرخشنوریویژهاشارهکرده‌ایم.چرخش نوری ویژه برابر با ۵٫۷۵- درجه دارد. مثال دوم چرخش نوری مشاهده شده از ۱۰ گرم آر-۲-متیل ۱-بوتانول در محلولی ۵۰ میلی‌لیتری در ۲۰ درجه سانتی‌گراد و ظرف پلاریمتر ۲۰ سانتی‌متری برابر با ۲٫۳ درجه است. با استفاده از اطلاعات داده شده، چرخش نوری ویژه آن را محاسبه کنید. پاسخ\: پیش‌تر به رابطه چرخش نوری ویژه اشاره کرده‌ایم.[alpha]^T_lambda = dfrac{alpha}{Icdot c}باجایگذاریاطلاعاتداده‌شدهدرصورتمثالمی‌توانچرخشنوریرابه‌‌صورتزیرمحاسبهکرد.با جایگذاری اطلاعات داده‌ شده در صورت مثال می‌توان چرخش نوری را به‌‌صورت زیر محاسبه کرد.{alpha}۲٫۳درجه\: ۲٫۳ درجهTبرابر۲۰درجهسانتی‌گراد\: برابر ۲۰ درجه سانتی‌گرادIبرابربا۲دسی‌متر\: برابر با ۲ دسی‌مترcبرابر۵۰میلی‌لیتر\: برابر ۵۰ میلی‌لیتر[alpha]^{20}_lambda = dfrac{2.3}{(2times10)div50}=5.75چرخشنوریویژهاینمادههمان‌طورکهمشاهدهمی‌کنیدبرابربا۵٫۷۵درجهاست.کایرالیتهبرایدرکبهترمفهومکایرالیتهمی‌توانیمدودستانسانرادرنظربگیریم.هردودستمادارای۵انگشتمشابهیکدیگرهستند.ایندو،تصاویرآینه‌ایهمنیزهستند،یعنیاگردستراستراروبرویآینه‌ایبگیریم،تصویرهماندستچپاستوبالعکس.اینرامی‌توانیمبادستزدننیزمشاهدهکنیم.هنگامیکهدستمی‌زنیم،دستراستوچپبرروییکدیگرقرارمی‌گیرند.اماتوجهداشتهباشیدکهایندوبرهممنطبقنیستند،یعنیدرحالتیکهکفهردودستبهسمتبالایاپایینباشد،رویهمقرارنمی‌گیرند.تصویرآينه‌ایدستراستدقیقامانندخوددستچپاست.اینمفهومرامی‌توانیمبابررسیومقایسهیکجفتدستکشنیزانجامنمی‌دهیم.آن‌‌هابریکدیگرمنطبقنمی‌شونداماهردستکشتصویرآینه‌ایدستکشدیگراست.بهمولکول‌هاییکهدارایاینویژگیباشند،کایرالمی‌گوییم.برایپی‌بردنبهکایرالبودنیکمولکولمی‌توانبهاتم‌هایمتصلبهکربنمرکزیدقتکرد.اگرایناتمدارای۴گروهمتفاوتمتصلباشد،کایرالخواهدبود.مطلبپیشنهادیکایرالیتهچیست؟‌–بهزبانساده+تعریفومثالشروعمطالعهدراینمطلبمی‌خواهیمبدانیمکایرالیتهچیستوچگونهقابلتشخیصاست.درادمهمفاهیممرتبطباکایرالتهرانیزبررسیمی‌کنیم.https//blog.faradars.org/کایرالیتهچیست؟/براینمونهبهمولکولیبافرمولشیمیاییچرخش نوری ویژه این ماده همان‌طور که مشاهده می‌کنید برابر با ۵٫۷۵ درجه است. کایرالیته برای درک بهتر مفهوم کایرالیته می‌توانیم دو دست انسان را در نظر بگیریم. هر دو دست ما دارای ۵ انگشت مشابه یکدیگر هستند. این دو، تصاویر آینه‌ای هم نیز هستند، یعنی اگر دست راست را روبروی آینه‌ای بگیریم، تصویر همان دست چپ است و بالعکس. این را می‌توانیم با دست زدن نیز مشاهده کنیم. هنگامی که دست می‌زنیم، دست راست و چپ بر روی یکدیگر قرار می‌گیرند. اما توجه داشته باشید که این دو بر هم منطبق نیستند، یعنی در حالتی که کف هر دو دست به سمت بالا یا پایین باشد، روی هم قرار نمی‌گیرند. تصویر آينه‌ای دست راست دقیقا مانند خود دست چپ است. این مفهوم را می‌توانیم با بررسی و مقایسه یک جفت دستکش نیز انجام نمی‌دهیم. آن‌‌ها بر یکدیگر منطبق نمی‌شوند اما هر دستکش تصویر آینه‌ای دستکش دیگر است. به مولکول‌هایی که دارای این ویژگی باشند، کایرال می‌گوییم. برای پی‌بردن به کایرال بودن یک مولکول می‌توان به اتم‌های متصل به کربن مرکزی دقت کرد. اگر این اتم دارای ۴ گروه متفاوت متصل باشد، کایرال خواهد بود. مطلب پیشنهادی\: کایرالیته چیست ؟‌ – به زبان ساده + تعریف و مثال شروع مطالعه در این مطلب می‌خواهیم بدانیم کایرالیته چیست و چگونه قابل تشخیص است. در ادمه مفاهیم مرتبط با کایرالته را نیز بررسی می‌کنیم. --\> https\://blog.faradars.org/کایرالیته-چیست-؟/ --\> برای نمونه به مولکولی با فرمول شیمیاییCHFClBr توجهکنید.درتصویرزیرآنراهمراهباتصویرآینه‌‌شمشاهدهمی‌کنید.درتصویرزیرازگوهبراینمایشاتم‌هایبیرونازصفحهونزدیکبهبینندهوازخط‌چینبراینمایشاتم‌هایدرونصفحهودورازبینندهاستفادهشدهاست.اینمولکولدارایمرکزکایرالاست.اگراینمولکولراحولپیوندکربنوهیدروژنبهاندازه۱۸۰درجهبپرخانیم،نتیجهمانندزیربهدستخواهدآمد.ایندوساختاربایکدیگرمتفاوتهستندزیرابرهممنطبقنمی‌شوند.اینرامی‌توانیددرتصویرزیرمشاهدهکنید.بههمیندلیلاینمولکولکهدارایتصویرآینه‌ایاستامابرخودمنطبقنمی‌شود،کایرالنامیدهمی‌شود.ایندوساختاربههیچطریقیبرهممنطبقنمی‌شوند.بنابراینمی‌توانباقاطعیتنتیجه‌گیریکردکهتماممولکول‌هایچهاروجهیبا۴اتمیاگروهمتفاوترویخودکایرالهستند.اگرمولکولیبهطریقیدارایصفحهتقارنباشد،کهمولکولرابهدوقسمتکاملامشابهتقسیمکند،غیرکایرالخواهدبود.برایتشخیصکایرالبودنیانبودنیکمولکولمی‌توانبهایننکتهنیزتوجهکرد.همچنینگاهیمولکول‌هاییبابیشاز۱مرکزکایرال،غیرکایرالهستندزیراایندومرکزکایرالبایکدیگرتقارندارند.برایسنجشبیشتر،درادامهتعدادیمثالرادرهمینراستاموردبررسیقرارمی‌دهیم.مثالتشخیصکایرالیتهدراینبخشبابرررسیتعدادیسوالبههمراهپاسختشریحیدرکخودراازمفهومکایرالیتهعمقمی‌بخشیم.مثالاولبهدومولکولموجوددرتصویرزیردقتکنیدوبگوییدکدامکایرالوکدامغیرکایرالاست؟پاسخمولکولاولبانام۲برمو۲متیلبوتانرویکربندومخوددوگروهمشابهتوجه کنید. در تصویر زیر آن را همراه با تصویر آینه‌‌ش مشاهده می‌کنید. در تصویر زیر از گوه برای نمایش اتم‌های بیرون از صفحه و نزدیک به بیننده و از خط‌چین برای نمایش اتم‌های درون صفحه و دور از بیننده استفاده شده است. این مولکول دارای مرکز کایرال است. اگر این مولکول را حول پیوند کربن و هیدروژن به اندازه ۱۸۰ درجه بپرخانیم، نتیجه مانند زیر به دست خواهد آمد. این دو ساختار با یکدیگر متفاوت هستند زیرا بر هم منطبق نمی‌شوند. این را می‌توانید در تصویر زیر مشاهده کنید. به همین دلیل این مولکول که دارای تصویر آینه‌ای است اما بر خود منطبق نمی‌شود، کایرال نامیده می‌شود. این دو ساختار به هیچ طریقی بر هم منطبق نمی‌شوند. بنابراین می‌توان با قاطعیت نتیجه‌گیری کرد که تمام مولکول‌های چهاروجهی با ۴ اتم یا گروه متفاوت روی خود کایرال هستند. اگر مولکولی به طریقی دارای صفحه تقارن باشد، که مولکول را به دو قسمت کاملا مشابه تقسیم کند، غیرکایرال خواهد بود. برای تشخیص کایرال بودن یا نبودن یک مولکول می‌توان به این نکته نیز توجه کرد. همچنین گاهی مولکول‌هایی با بیش از ۱ مرکز کایرال، غیرکایرال هستند زیرا این دو مرکز کایرال با یکدیگر تقارن دارند. برای سنجش بیشتر، در ادامه تعدادی مثال را در همین راستا مورد بررسی قرار می‌دهیم. مثال تشخیص کایرالیته در این بخش با برررسی تعدادی سوال به همراه پاسخ تشریحی درک خود را از مفهوم کایرالیته عمق می‌بخشیم. مثال اول به دو مولکول موجود در تصویر زیر دقت کنید و بگویید کدام کایرال و کدام غیرکایرال است؟ پاسخ\: مولکول اول با نام ۲-برمو ۲-متیل بوتان روی کربن دوم خود دو گروه مشابهCH_3دارد.بنابرایناینمولکولنمی‌تواندکایرالباشد.همچنیندارایانانتیومرنیزنیست.درمولکولدومبانام۱برمو۲متیلبوتانکربندومدارای۴گروهمتفاوتبه‌صورتدارد. بنابراین این مولکول نمی‌تواند کایرال باشد. همچنین دارای انانتیومر نیز نیست. در مولکول دوم با نام ۱-برمو ۲-متیل بوتان کربن دوم دارای ۴ گروه متفاوت به‌صورتH،،Br،،CH_3ووCH_2CH_3است.اینباعثمی‌شوددارایمرکزکایرالوانانتیومرباشد.درتصویرزیردوانانتیومراینمولکولرامشاهدهمی‌کنید.توجهداشتهباشیدکهایندومولکولتصویرآينه‌ایهمهستندامانمی‌توانندبرهممنطبقشوند.مثالدومآیامولکولزیردارایمرکزکایرالاست؟درصورتمثبتبودنجواب،آن‌‌هارامشخصکنید.پاسخگفتیمکههرکربنیبا۴اتمیاگروهمتفاوترویخودکایرالاست.اینمولکولنیزدارایتعدادیمراکزکایرالاستکهبادایرهدرتصویرزیرمشخصشدهاست.مثالسومدرتصویرزیر۴مولکولآوردهشدهاست.آن‌هاییکهکایرالهستندرامشخصکنید.مولکول۱اینساختارکایرالاستزیرادرخوددارییکمرکزکایرالبا۴استخلافمتفاوتازیکدیگراست.مرکزکایرالآندرتصویرزیرباستارهقرمزمشخصشدهاست.مولکول۲اینساختارنیزکایرالاستزیرادرخوددارییکمرکزکایرال(دارایستارهقرمز)با۴استخلافمتفاوتازیکدیگراست.مولکول۳دراینمولکول۲مرکزکایرالدرکناریکدیگرقراردارند.آن‌هارامی‌توانیددرتصویرزیرببینید.مولکول۴دراینمولکولحلقوی۳اتمکربنوجوددارندکهرویهرکدام۴استخلافمتفاوتازیکدیگروجوددارد.این۳مرکزراباستارهقرمزمشخصکرده‌ایم.ترکیبخالصنوریاگردرنمونه‌ایتنهاییکیازدوانانتیومرحضورداشتهباشد،بهآن«خالصنوری»(OpticallyActive)میگوییم.ایننمونهنوررادرجهتساعت‌گردباپادساعت‌گردخواهدچرخاند.خلوصنوریمفهوم«خلوصنوری»(OpticalPurity)یا«مازادانانتیومری»(EnantiomericExcess)،بهتفاوتدرمقادیردوانانتیومراشارهدارد.اینمفهومرامی‌توانبرایترکیب‌هابااستفادهازهردورابطهزیرمحاسبهکرد.خلوصنوری=مازادانانتیومری=درصدانانتیومراولدرصدانانتیومردوماست. این باعث می‌شود دارای مرکز کایرال و انانتیومر باشد. در تصویر زیر دو انانتیومر این مولکول را مشاهده می‌کنید. توجه داشته باشید که این دو مولکول تصویر آينه‌ای هم هستند اما نمی‌توانند بر هم منطبق شوند. مثال دوم آیا مولکول زیر دارای مرکز کایرال است؟ در صورت مثبت بودن جواب، آن‌‌ها را مشخص کنید. پاسخ\: گفتیم که هر کربنی با ۴ اتم یا گروه متفاوت روی خود کایرال است. این مولکول نیز دارای تعدادی مراکز کایرال است که با دایره در تصویر زیر مشخص شده است. مثال سوم در تصویر زیر ۴ مولکول آورده شده است. آن‌هایی که کایرال هستند را مشخص کنید. مولکول ۱ این ساختار کایرال است زیرا در خود داری یک مرکز کایرال با ۴ استخلاف متفاوت از یکدیگر است. مرکز کایرال آن در تصویر زیر با ستاره قرمز مشخص شده است. مولکول ۲ این ساختار نیز کایرال است زیرا در خود داری یک مرکز کایرال (دارای ستاره قرمز) با ۴ استخلاف متفاوت از یکدیگر است. مولکول ۳ در این مولکول ۲ مرکز کایرال در کنار یکدیگر قرار دارند. آن‌ها را می‌توانید در تصویر زیر ببینید. مولکول ۴ در این مولکول حلقوی ۳ اتم کربن وجود دارند که روی هر کدام ۴ استخلاف متفاوت از یکدیگر وجود دارد. این ۳ مرکز را با ستاره قرمز مشخص کرده‌ایم. ترکیب خالص نوری اگر در نمونه‌ای تنهای یکی از دو انانتیومر حضور داشته باشد، به آن «خالص نوری» (Optically Active) میگوییم. این نمونه نور را در جهت ساعت‌گرد با پادساعت‌گرد خواهد چرخاند. خلوص نوری مفهوم «خلوص نوری» (Optical Purity) یا «مازاد انانتیومری» (Enantiomeric Excess)، به تفاوت در مقادیر دو انانتیومر اشاره دارد. این مفهوم را می‌توان برای ترکیب‌ها با استفاده از هر دو رابطه زیر محاسبه کرد. خلوص نوری= مازاد انانتیومری= درصد انانتیومر اول - درصد انانتیومر دوم100 frac{[alpha];mixture}{ [alpha];pure; sample}کاربردچرخشوفعالیتنوریازموادبهدلیلداشتنفعالیتنوریمی‌تواناستفاده‌هایویژه‌ایکرد.دراینبخشمی‌خواهیمبهتعدادیازمهم‌تریناینویژگی‌هابپردازیم.گچرخشنوریبرایاندازه‌گیریدرصدموادفعالنوریحاضردرمحلولمورداستفادهقرارمی‌گیرد.میزانقندموجوددرادرارفردمبتلابهدیابتازچرخشنوریآنموردمحاسبهقرارمی‌گیرد.فعالیتنوریبهزمانبستگیداردوبرایاندازه‌گیریسینتیکواکنش‌هاازآنبهرهمی‌برند.چرخشنوریبرایرسممنحنیپراکندگیچرخشیبرایطیف‌هایمختلفطولموجمورداستفادهقرارمی‌گیرد.بادردستداشتنچرخشنوری،می‌توانبهشناسایییکمولکولناشناختهپرداخت.فعالیتنوریقندهابسیاریازمولکول‌هایزیستیدارایمراکزکایرالهستندودربسیاریمواردبرایبررسیمفهومکایرلیتهازمولکولگلوکزمثالزدهمی‌شود.اینمولکولدارایفعالیتنوریاستوبهدوشکلراست‌گردوچپ‌گردامکانحضوردارد.درتصویرزیرآن‌هارامشاهدهمی‌کنید.بااینحالدرسیستم‌هایزندهمعمولایکیازدوانانتیومرمولکول‌هایزیستیوجوددارد.کربوهیدرات‌هاکهآن‌هارابانامقندنیزمی‌شناسیممعمولادارایفعالیتنوریهستندزیراحداقل۱مرکزکایرالدرونساختارخوددارند.اینعدمتقارندرمراکزکایرالبهخوبیازساختارآن‌هاقابلبرداشتاست.بنابراینقندهامولکول‌هاییدارایفعالیتنوریبهشمارمی‌آیند.بااینحالتوجهداشتهباشیدکهدرهرموردبایدبهساختارمربوطهتوجهکنیموکایرالبودندرموردتمامیقندهاصدقنمی‌کند.مطلبپیشنهادیکربوهیدراتها—بهزبانسادهشروعمطالعهکربوهیدراتهاگروهیازمولکول‌هایزیستیهستندکهازکربنهیدروژنواکسیژنتشکیلشده‌اند.اینترکیباتبهسهدستهمونو،دیوپلیساکاریدتقسیممی‌شوند.https//blog.faradars.org/کربوهیدرات‌ها/  فعالیتنوریآمینواسیدهاآمینواسیدواحدهایتشکیلدهندهپپتیدوپروتئینوازایننظربرایحیاتانسانضروریاست.اینخانوادهازترکیباتدرساختارخودهمگروهعاملیکربوکسیلیکاسیدهمآمینیرادارند،ازهمینروبه‌نامآمینواسیدخواندهمی‌شوند.مطلبپیشنهادیآمینواسیدچیست؟–بهزبانسادهشروعمطالعهآمینواسیدهازیرواحدهایپروتئینیوازمولکول‌هایضروریبدنهستند.دراینمطلبتوضیحمی‌دهیمآمینواسیدچیستوچهنقشیدربدندارد.https//blog.faradars.org/آمینواسیدچیست/  ۲۲آمینواسیدهستندکهازاهمیتبسیاربالاییبرخورداندوژنتیکانسانبهآن‌هابستگیدارد.رویتمامیآمینواسیدهایکگروهکاربرد چرخش و فعالیت نوری از مواد به دلیل داشتن فعالیت نوری می‌توان استفاده‌های ویژه‌ای کرد. در این بخش می‌خواهیم به تعدادی از مهم‌ترین این ویژگی‌ها بپردازیم. گ چرخش نوری برای اندازه‌گیری درصد مواد فعال نوری حاضر در محلول مورد استفاده قرار می‌گیرد. میزان قند موجود در ادرار فرد مبتلا به دیابت از چرخش نوری آن مورد محاسبه قرار می‌گیرد. فعالیت نوری به زمان بستگی دارد و برای اندازه‌گیری سینتیک واکنش‌ها از آن بهره می‌برند. چرخش نوری برای رسم منحنی پراکندگی چرخشی برای طیف‌های مختلف طول موج مورد استفاده قرار می‌گیرد. با در دست داشتن چرخش نوری، می‌توان به شناسایی یک مولکول ناشناخته پرداخت. فعالیت نوری قندها بسیاری از مولکول‌های زیستی دارای مراکز کایرال هستند و در بسیاری موارد برای بررسی مفهوم کایرلیته از مولکول گلوکز مثال زده می‌شود. این مولکول دارای فعالیت نوری است و به دو شکل راست‌گرد و چپ‌گرد امکان حضور دارد. در تصویر زیر آن‌ها را مشاهده می‌کنید. با این حال در سیستم‌های زنده معمولا یکی از دو انانتیومر مولکول‌های زیستی وجود دارد. کربوهیدرات‌ها که آن‌ها را با نام قند نیز می‌شناسیم معمولا دارای فعالیت نوری هستند زیرا حداقل ۱ مرکز کایرال درون ساختار خود دارند. این عدم تقارن در مراکز کایرال به خوبی از ساختار آن‌ها قابل برداشت است. بنابراین قندها مولکول‌هایی دارای فعالیت نوری به شمار می‌آیند. با این حال توجه داشته باشید که در هر مورد باید به ساختار مربوطه توجه کنیم و کایرال بودن در مورد تمامی قندها صدق نمی‌کند. مطلب پیشنهادی\: کربوهیدرات ها — به زبان ساده شروع مطالعه کربوهیدرات ها گروهی از مولکول‌های زیستی هستند که از کربن هیدروژن و اکسیژن تشکیل شده‌اند. این ترکیبات به سه دسته مونو، دی و پلی ساکارید تقسیم می‌شوند. --\> https\://blog.faradars.org/کربوهیدرات‌-ها/ --\> \; فعالیت نوری آمینو اسیدها آمینواسید واحدهای تشکیل دهنده پپتید و پروتئین و از این نظر برای حیات انسان ضروری است. این خانواده از ترکیبات در ساختار خود هم گروه عاملی کربوکسیلیک اسید هم آمینی را دارند، از همین رو به‌ نام آمینواسید خوانده می‌شوند. مطلب پیشنهادی\: آمینو اسید چیست ؟ – به زبان ساده شروع مطالعه آمینو اسید ها زیرواحدهای پروتئینی و از مولکول‌های ضروری بدن هستند. در این مطلب توضیح می‌دهیم آمینو اسید چیست و چه نقشی در بدن دارد. --\> https\://blog.faradars.org/آمینو-اسید-چیست/ --\> \; ۲۲ آمینواسید هستند که از اهمیت بسیار بالایی برخورداند و ژنتیک انسان به آن‌ها بستگی دارد. روی تمامی آمینواسیدها یک گروهRنیزوجوددارندکهازآمینواسیدیبهآمینواسیددیگرمتفاوتاستودرواقعاساسوجودآمینواسیدهایمختلف،متفاوتبودنهمینگروهمتغیراست.تمامیآمینواسیدهابهغیرازیکی،دارایمرکزکایرالهستندوازخودفعالیتنورینشانمی‌دهند.درزیرتعدادیازآن‌هارامشاهدهمی‌کنید.دراینآمینواسیدهاگروهمتغیربارنگصورتینشاندادهشدهاست.توجهداشتهباشیدکههمگیداراییکمرکزکایرالهستند،به‌صورتیکهبه۴گروهمتفاوتمتصلشده‌اند.دربینآمینواسیدهایکاستثناوجوددارد.آمینواسیدکوچکگلایسینازآنجاکهمرکزکایرالندارد،فاقدفعالیتنوریاست.همان‌طورکهدرتصویرزیرپیداست،اتمکربنمرکزیدارایدواتصالهیدروژنمشابهوغیرکایرالاست.گلایسیندارایدواتصالهیدروژنمشابهاستکهبارنگآبیمشخصشدهاست.تاریخچهفعالیتنوریفعالیتنوریاولینبارتوسطفیزیکدانفرانسوی«ژانبتیسیبیو»(JeanBaptisteBiot)مشاهدهشد.اومتوجهشدکهتغییرمسیرنورقطبیدهدرعبورازبرخیمواد،درواقعچرخشنوراستوبهویژگیونوعمولکول‌هاربطدارد.پرترهژانبیورامشاهدهمی‌کنید.اینمشاهدهویتوسطمطالعات«لوییپاستور»(LouisPasteur)موردحمایتقرارگرفت.پاستورمتوجهحضورتارتاریکاسیدبهدوصورتبلوریشدهبودکهتصویرآينه‌اییکدیگربودند.اوطیآزمایش‌هایدقیقخودمتوجهشدکهبرخیازاینمولکول‌هانوررادرجهتعقربه‌هایساعتوبرخیخلافجهتعقربه‌هایساعتمی‌چرخانندومقداراینچرخشدرهردویکساناست.اوهمچنینمشاهدهکردکهمخلوطیازایندوکهامروزهباناممخلوطراسمیکمی‌شناسیم،هیچفعالیتنورینداردزیراایندودستهمولکولچرخشنورییکدیگرراخنثیمی‌کنند.اواولینفردیبودکهتوانستبهمفهوممولکول‌هایکایرالپیببرد.لوییپاستوردرحالمطالعهدرآزمایشگاهخودمثالوحلتمریندراینقسمتبهسراغتعدادیمثالوتمرینخواهیمرفتتادرکبهتریازمفهومفعالیتنوریداشتهباشیم.مثالفعالیتنوریابتدامی‌خواهیمسراغتعدادیمثالبرویموباپاسختشریحینحوهحلآن‌‌هاراموردبررسیقراردهیم.مثالاولبهمولکول‌هایزیرتوجهکنیدوبگوییدکدامیکازاتم‌هایکربنآنمرکزکایرالاست؟مولکول۱براییافتنمرکزکایرالبایددنبالاتمکربنیباشیمکهرویآن۴اتمیاگروهمتفاوتازهمحضورداشتهباشند.دراینموردمرکزکایرالیداریمکهگروه‌هایمتفاوتزیربرآنحضوردارند.نیز وجود دارند که از آمینواسیدی به آمینواسید دیگر متفاوت است و درواقع اساس وجود آمینواسیدهای مختلف، متفاوت بودن همین گروه متغیر است. تمامی آمینواسیدها به غیر از یکی، دارای مرکز کایرال هستند و از خود فعالیت نوری نشان می‌دهند. در زیر تعدادی از آن‌ها را مشاهده می‌کنید. در این آمینواسیدها گروه متغیر با رنگ صورتی نشان داده شده است. توجه داشته باشید که همگی دارای یک مرکز کایرال هستند، به‌صورتی که به ۴ گروه متفاوت متصل شده‌اند. در بین آمینو اسیدها یک استثنا وجود دارد. آمینو اسید کوچک گلایسین از آنجا که مرکز کایرال ندارد، فاقد فعالیت نوری است. همان‌طور که در تصویر زیر پیداست، اتم کربن مرکزی دارای دو اتصال هیدروژن مشابه و غیرکایرال است. گلایسین دارای دو اتصال هیدروژن مشابه است که با رنگ آبی مشخص شده است. تاریخچه فعالیت نوری فعالیت نوری اولین بار توسط فیزیکدان فرانسوی «ژان بتیسی بیو» (Jean Baptiste Biot) مشاهده شد. او متوجه شد که تغییر مسیر نور قطبیده در عبور از برخی مواد، درواقع چرخش نور است و به ویژگی و نوع مولکول‌ها ربط دارد. پرتره ژان بیو را مشاهده می‌کنید. این مشاهده وی توسط مطالعات «لویی پاستور» (Louis Pasteur) مورد حمایت قرار گرفت. پاستور متوجه حضور تارتاریک اسید به دو صورت بلوری شده بود که تصویر آينه‌ای یکدیگر بودند. او طی آزمایش‌های دقیق خود متوجه شد که برخی از این مولکول‌ها نور را در جهت عقربه‌های ساعت و برخی خلاف جهت عقربه‌های ساعت می‌چرخانند و مقدار این چرخش در هر دو یکسان است. او همچنین مشاهده کرد که مخلوطی از این دو که امروزه با نام مخلوط راسمیک می‌شناسیم، هیچ فعالیت نوری ندارد زیرا این دو دسته مولکول چرخش نوری یکدیگر را خنثی می‌کنند. او اولین فردی بود که توانست به مفهوم مولکول‌های کایرال پی ببرد. لویی پاستور در حال مطالعه در آزمایشگاه خود مثال و حل تمرین در این قسمت به سراغ تعدادی مثال و تمرین خواهیم رفت تا درک بهتری از مفهوم فعالیت نوری داشته باشیم. مثال فعالیت نوری ابتدا می‌خواهیم سراغ تعدادی مثال برویم و با پاسخ تشریحی نحوه حل آن‌‌ها را مورد بررسی قرار دهیم. مثال اول به مولکول‌های زیر توجه کنید و بگویید کدام یک از اتم‌های کربن آن مرکز کایرال است؟ مولکول ۱ برای یافتن مرکز کایرال باید دنبال اتم کربنی باشیم که روی آن ۴ اتم یا گروه متفاوت از هم حضور داشته باشند. در این مورد مرکز کایرالی داریم که گروه‌های متفاوت زیر بر آن حضور دارند.Br$$ $$I$$ $$H$$ $$Fمولکول۲اینموکولفاقدمرکزکایرالاستزیراباتوجه‌بهگروه‌هایرویآنکهدرزیرآورده‌ایم،دوگروهمشابهرویآنحضوردارند.اینمولکولغیرکایرالاست.۲عددمولکول ۲ این موکول فاقد مرکز کایرال است زیرا با توجه‌ به گروه‌های روی آن که در زیر آورده‌ایم، دو گروه مشابه روی آن حضور دارند. این مولکول غیرکایرال است. ۲ عددCH_3$$ $$I$$ $$Fمولکول۳اینمولکولفاقدمرکزکایرالاستزیراباتوجه‌بهگروه‌هایرویآنکهدرزیرآورده‌ایم،دوگروهمشابهرویآنحضوردارند.اینمولکولغیرکایرالاست.۲عددمولکول۳ این مولکول فاقد مرکز کایرال است زیرا با توجه‌ به گروه‌های روی آن که در زیر آورده‌ایم، دو گروه مشابه روی آن حضور دارند. این مولکول غیرکایرال است. ۲ عددCH_2CH_3$$ $$I$$ $$OHمولکول۴اینمولکولفاقدمرکزکایرالاستزیراباتوجه‌بهگروه‌هایرویآنکهدرزیرآورده‌ایم،دوگروهمشابهرویآنحضوردارند.اینمولکولغیرکایرالاست.۲عددمولکول ۴ این مولکول فاقد مرکز کایرال است زیرا با توجه‌ به گروه‌های روی آن که در زیر آورده‌ایم، دو گروه مشابه روی آن حضور دارند. این مولکول غیرکایرال است. ۲ عددCH_2CH_3$$ $$CH_2CH_3$$ $$Hمولکول۵براییافتنمرکزکایرالبایددنبالاتمکربنیباشیمکهرویآن۴اتمیاگروهمتفاوتازهمحضورداشتهباشند.دراینموردمرکزکایرالیداریمکهگروه‌هایمتفاوتزیربرآنحضوردارند.مولکول ۵ برای یافتن مرکز کایرال باید دنبال اتم کربنی باشیم که روی آن ۴ اتم یا گروه متفاوت از هم حضور داشته باشند. در این مورد مرکز کایرالی داریم که گروه‌های متفاوت زیر بر آن حضور دارند.CH_3$$ $$CH_2CH_3$$ $$H$$ $$OHمولکول۶اینمولکولفاقدمرکزکایرالاستزیراباتوجه‌بهگروه‌هایرویآنکهدرزیرآورده‌ایم،دوگروهمشابهرویآنحضوردارند.اینمولکولغیرکایرالاست.۲عددمولکول ۶ این مولکول فاقد مرکز کایرال است زیرا با توجه‌ به گروه‌های روی آن که در زیر آورده‌ایم، دو گروه مشابه روی آن حضور دارند. این مولکول غیرکایرال است. ۲ عددCH_2CH_3$$ $$CH_2CH_3$$ $$OH$$

مثال دوم

در مورد کایرال یا غیرکایرال بودن مولکول زیر اظهار نظر کنید.

تمرین کایرالیته

پاسخ: برای پاسخ به این سوال با دقت به ساختار مولکول نگاه می‌کنیم تا مراکز کایرال آن را در صورت وجود بیابیم. در این مولکول تمامی کربن‌های حلقه دارای دو استخلاف هیدروژن هستند و نمی‌توانند کایرال باشند، بنابراین سراغ تنها کربنی می‌رویم که دارای دو استخلاف هیدروژن و متیل است. باید دو گروه دیگر آن که در حلقه است را بررسی کنیم. با پیشروی در مسیر حلقه متوجه می‌شویم که متقارن است و این دو گروه مشابه هستند. بنابراین این مولکول فاقد مرکز کایرال است. همچنین با رسم تصویر تخت آن متوجه می‌شویم که دارای محور تقارن و غیرکایرال است. این محور تقارن را در تصویر زیر با رنگ سرخابی نشان داده‌ایم.

تمرین کایرالیته

مثال سوم

در تصویر زیر ۴ مولکول متفاوت آورده شده است. آن‌‌هایی که کایرال هستند را مشخص کنید.

مولکول ۱

در این مولکول هیچ اتم کربنی را نمی‌توان یافت که دارای ۴ استخلاف متفاوت باشد، بنابراین مولکول غیرکایرال است.

مولکول ۲

در این مولکول دو مرکز کایرال وجود دارد که با رنگ قرمز در تصویر زیر مشخص شده‌اند. بنابراین مولکول کایرال است.

تمرین فعالیت نوری

در این قسمت تعدادی تمرین ۴ گزینه‌ای را پیرامون فعالیت نوری و مفاهیم مرتبط با آن بررسی می‌کنیم.

تمرین اول

تمرین و آزمون

تمرین دوم

تمرین و آزمون

تمرین سوم

تمرین و آزمون

تمرین چهارم

تمرین و آزمون

تمرین پنجم

تمرین و آزمون

سوالات متدوال

در این بخش‌ می‌خواهیم به تعدادی سوال مهم و پرتکرار پیرامون فعالیت نوری پاسخ دهیم.

چرا مخلوط راسمیک فاقد فعالیت نوری است ؟

در مخلوط راسمیک به دلیل وجود همزمان انانتیومر راست‌گرد و چپ‌‌گرد، فعالیت نوری از بین می‌رود. فعالیت نوری دو انانیتومر در دو جهت مختلف و با میزان برابر است، در نتیجه همدیگر را خنثی می‌کنند.

چه رابطه ای بین کایرالیته و فعالیت نوری وجود دارد ؟

مولکول‌هایی که دارای مرکز کایرال باشند، از نظر نوری فعال هستند.

مولکول راست گرد چیست ؟

مولکول راست‌گرد، نور قطبیده را در جهت حرکت عقربه‌های ساعت می‌چرخاند.

آیا قندها فعالیت نوری دارند ؟

بسیاری از مولکول‌های قندی دارای مرکز کایرال هستند و در نتیجه فعال نوری به حساب می‌آیند.

آیا آمینو اسیدها فعالیت نوری دارند ؟

تمام آمینو اسیدها به جز گلایسین دارای مرکز کایرال و فعالیت نوری هستند.

مولکول چپ گرد چیست ؟

مولکول چپ‌گرد، نور قطبیده را در جهت خلاف حرکت عقربه‌های ساعت می‌چرخاند.

جمع بندی

هدف از این مطلب این بود که بدانیم فعالیت نوری چیست و چه ترکیب‌های آن را از خود نشان می‌دهند. همچنین در مورد نحوه محاسبه چرخش نوری ویژه صحبت کردیم.

بر اساس رای ۲۳ نفر
آیا این مطلب برای شما مفید بود؟
اگر پرسشی درباره این مطلب دارید، آن را با ما مطرح کنید.
منابع:
chemchemedpressbookschemistrystepslibretexts
PDF
مطالب مرتبط
۲ دیدگاه برای «فعالیت نوری چیست؟ – در شیمی و به زبان ساده»

یک شعاع نوری پلاریزه پس از عبور از درون جسم فعال نوری دچار چه تعبیری می گردد

excellent….thank you

نظر شما چیست؟

نشانی ایمیل شما منتشر نخواهد شد. بخش‌های موردنیاز علامت‌گذاری شده‌اند *