حل مسائل ریاضی با هوش مصنوعی – معرفی ۱۳ ابزار + نحوه استفاده
برای حل مسئله ریاضی با هوش مصنوعی بسیار مهم است که اول سوال خود را به شکل درست و شفافی مطرح بکنید. در سالهای اخیر، و از وقتی که چتجیپیتی بر سر زبانها افتاده، بحث استفاده از هوش مصنوعی در حوزههای مختلف از جمله ریاضیات داغ شده است. با گسترش و اثبات قابلیتهای هوش مصنوعی در حوزه ریاضی، نرمافزارها، اپلیکیشنها و سایتهای زیادی برای حل مسائل ریاضی با هوش مصنوعی توسعه یافتند. امروزه، بسیاری از این ابزارها، نه تنها برای حل مسئله، بلکه برای آموزش و یادگیری نیز مورد استفاده قرار میگیرند. هوش مصنوعی، ابزار پیشرفتهای است که امکان تقلید نسبی از عملکرد مغز انسان را فراهم میکند. فقط باید سعی کنیم، سوال خود را به شکل درست مطرح کنیم.
- یاد میگیرید چگونه ابزارهای هوش مصنوعی را برای حل مسائل ریاضی انتخاب کنید.
- خواهید آموخت هر ابزار AI مربوط به ریاضی چه تواناییها و محدودیتهایی دارد.
- میآموزید با نرمافزارها و اپلیکیشنهای عکسمحور مسائل ریاضی را حل کنید.
- راهکارهای اصولی برای جلوگیری از وابستگی به AI را یاد میگیرید.
- با مهمترین مزایا و معایب کاربرد هوش مصنوعی در حل مسائل ریاضی آشنا میشوید.
- خواهید توانست متناسب با سطح و نیاز خود بهترین ابزار AI مرتبط به ریاضی را تشخیص دهید.


در این مطلب از مجله فرادرس، قصد داریم بهترین ابزارهای حل مسائل ریاضی با هوش مصنوعی را به همراه بررسی قابلیتها و نحوه کار کردن با آنها به شما معرفی کنیم. در انتها، برخی از مهمترین مزایا و محدودیتهای این ابزارها را نیز مورد ارزیابی قرار میدهیم.
هوش مصنوعی چیست و چه کاربردهایی دارد؟
«هوش مصنوعی» (Artificial Intelligence) یا به اختصار «اِیآی» (AI)، یکی از شاخههای علوم کامپیوتر است که به مطالعه و ساخت سیستمهای دارای قدرت استدلال، یادگیری و تصمیمگیری مستقل میپردازد.
یکی از مهمترین قابلیتهای هوش مصنوعی، یادگیری بر اساس دادههای موجود است. هر چه این دادهها بزرگتر و قابلاعتمادتر باشند، توانایی هوش مصنوعی در درک مسائل بهبود مییابد.

قابلیت یادگیری مداوم، این امکان را به ابزارهای هوش مصنوعی میدهد تا در حوزههای مختلفی نظیر ساخت ماشینهای خودران، دستیار مجازی، رباتهای پزشکی و حتی حل مسائل ریاضی مورد استفاده قرار گیرند.
حل مسائل ریاضی با هوش مصنوعی
هوش مصنوعی، به روشهای مختلف در حوزه ریاضی استفاده میشود. از متداولترین کاربردهای هوش مصنوعی در ریاضی میتوان به مدلسازی، جبر رایانهای، تحلیل داده، اثبات قضیه خودکار و آموزش اشاره کرد. با توجه به این قابلیتها، قطعا میتوان از هوش مصنوعی در حل مسائل ریاضی بهره برد. این کار، با استفاده از پیادهسازی هوش مصنوعی در ابزارهایی نظیر سایتهای اینترنتی، نرمافزارهای کامپیوتری و اپلیکیشنهای موبایل انجام میگیرد. در ادامه، به معرفی بهترین ابزارهای هوش مصنوعی برای حل مسائل ریاضی میپردازیم.
بهترین ابزارهای هوش مصنوعی برای حل مسائل ریاضی
در این بخش و برای شروع، سه مورد از بهترین ابزارهای هوش مصنوعی برای حل مسائل ریاضی را به طور کامل بررسی میکنیم و نحوه استفاده از قابلیتهای آنها را به همراه حل چند مثال، آموزش میدهیم.
در فهرست پایین بهترین ابزارهای هوش مصنوعی برای حل مسائل ریاضی را معرفی کردهایم.
- چت جی پی تی
- گوگل بارد
- ولفرام آلفا

در ادامه روش استفاده از موارد بالا را توضیح دادهایم.
۱. چت جی پی تی و قابلیت آن در حل مسائل ریاضی
«چت جی پی تی» (Chat GPT)، یک مدل زبانی بزرگ مبتنی بر هوش مصنوعی است که قابلیت تولید متن در هر زمینهای دارد. بسیاری از کاربران، از این ابزار پیشرفته هوش مصنوعی برای پیدا کردن جواب سوالات خود و نوشتن شعر، کد، موسیقی، نامه یا حتی چت کردن و بحث در مورد مسائل مختلف استفاده میکنند. از قابلیتهای جذاب چتجیپیتی برای دانشآموزان، دانشجویان و دیگر افراد، حل مسائل ریاضی است. البته این قابلیت، با هر ابزار اینترنتی که قبلا دیدهاید تفاوت دارد.

یکی نکات مثبت ابزارهای هوش مصنوعی، مخصوصا مدلهای زبانی بزرگ، امکان مطرح کردن سوال در قالبها و زبانهای مختلف است. این ابزارها میتوانند نوشتههای شما را به پشتوانه دادههای عظیم خود تحلیل کنند و جواب مناسبی را ارائه دهند. در ادامه، این ویژگی را با حل چند مثال مورد بررسی قرار میدهیم.
حل مثال های ریاضی توسط چت جی پی تی
برای حل مسائل ریاضی توسط چتجیپیتی، روشهای مختلفی دارد. شما میتوانید با نگارش و زبان دلخواه خود، یک مسئله ریاضی را برای این ابزار هوش مصنوعی بنویسید و از آن بخواهید تا مسئله را برایتان حل کند. به عنوان مثال، در تصویر پایین، ما به زبان انگلیسی از چتجیپی خواستیم تا شیب خطی با معادله را پیدا کند.

همانطور که مشاهده میکنید، چتچیپیتی، ضمن ارائه توضیحات آموزشی در مورد نحوه محاسبه شیب یک خط، جواب سوال ما را به درستی به دست آورد. اکنون، سوال بالا را به زبان فارسی بازنویسی میکنیم.

چتجیپیتی، از زبان فارسی نیز پشتیبانی میکند. البته به دلیل دادههای کمتر این ابزار در حوزه منابع فارسی، ممکن است گاهی برای رسیدن به جواب درست، به توضیحات بیشتر نیاز داشته باشید. به هر حال، همانطور که در تصویر بالا مشاهده میکنید، چتجیپیتی، سوال ما را به زبان فارسی جواب داد. اکنون، سوال خود را به صورت دیگری مطرح میکنیم.

در تصویر بالا، سوال خود را بدون استفاده از هیچ کاراکتر انگلیسی مطرح کردیم. با این وجود، چتجیپیتی، منظور ما را متوجه شد و مسئله را به درستی حل کرد.
برای استفاده از چتجیپیتی در ایران، روشهای مختلفی وجود دارد. در صورتی که به این روشها دسترسی ندارید، استفاده از سایتهایی را توصیه میکنیم که قابلیتهای چتجیپیتی را به طور رایگان در اختیار کاربران قرار میدهند. برخی از این سایتها عبارت هستند از:
محدودیت های چت چی پی تی در حل مسائل ریاضی
چتچیپیتی، ابزار قدرتمندی برای حل انواع مسائل ریاضی است. با این وجود، این ابزار کاربردی هوش مصنوعی، همیشه نمیتواند برای مسائل پیچیده ریاضی، مخصوصا مسائل نیازمند روش یا فرمولهای خاص، جواب درستی را ارائه دهد. علاوه بر این، در برخی از مواقع، جواب چتجیپیتی، از بهینهترین راه ممکن به دست نمیآید. حل مسائلی که درک آنها به دانش کافی از دنیای واقعی یا تصمیمگیری منطقی نیازمند است نیز یکی از محدودیتهای این ابزار محسوب میشود.
البته قابلیتهای چتجیپیتی، روز به روز در حال پیشرفت و افزایش هستند و قطعا با گذر زمان، محدودیتهای موجود در زمینه حل بسیاری از مسائل ریاضی را برطرف خواهند کرد. عملکرد GPT-4 در حل مسائل ریاضی، به میزان قابل توجهی بهتر از GPT-3 است. با وجود تمام محدودیتهای Chat GPT، عملکرد آن چند سطح بالاتر از بسیاری از مدلهای زبانی دیگر قرار دارد و گزینه بهتری برای یادگیری و تمرین مسائل ریاضی محسوب میشود.

برای مقایسه Chat GPT با دیگر ابزارهای هوش مصنوعی، مثال ریاضی قبل را در HuggingChat (+) وارد کردیم (تصویر بالا). همانطور که مشاهده میکنید، با وجود بیان درست فرمول، نحوه استفاده از فرمول و استدلال HuggingChat برای رسیدن به جواب نهایی اشتباه بود.
۲. بارد و قابلیت آن در حل مسائل ریاضی
«بارد» (Bard)، یک مدل زبانی بزرگ مبتنی بر هوش مصنوعی است که توسط «گوگل اِیآی» (Google AI) توسعه یافته است. این ابزار هوش مصنوعی، از دادههای بسیار عظیم خود برای چت با کاربران و پاسخگویی به سوالهای آنها استفاده میکند. قابلیتهای بارد، شباهت بسیار زیادی به چتجیپیتی دارند. با این وجود، رویکرد این دو ابزار قدرتمند هوش مصنوعی، متفاوت است. Bard، از مجموعه دادههای بزرگتر و بهروزتری بهره میبرد. از طرفی، Chat GPT، انعطافپذیری بیشتری در انجام دستورات متفاوت دارد.

یکی از قابلیتهای جذاب گوگل بارد، حل مسائل ریاضی است. این ابزار هوش مصنوعی، با تکیه بر مجموعه دادههای عظیم خود، مسائل ساده تا پیچیده ریاضی را به خوبی درک میکند و جواب کاملی از آنها ارائه میدهد.
حل مثال های ریاضی توسط بارد
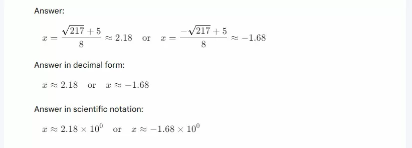
برای اینکه با قابلیتهای بارد در حل مسائل ریاضی آشنا شوید، چند مثال را به زبانهای و انگلیسی و فارسی توسط این ابزار هوش مصنوعی حل میکنیم. به عنوان مثال، معادله درجه دو زیر را در نظر بگیرید:
میخواهیم جوابهای این معادله را با استفاده از بارد به دست بیاوریم. به این منظور، سوال خود را به صورت دلخواه و به همراه معادله درون چت بارد مینویسیم (تصویر زیر).

همانطور که مشاهده میکنید، ما معادله را به صورت کد نوشتهایم اما بارد آن را درک کرد و فرم ریاضی آن را نوشت. سپس، راه حل به دست آوردن جوابهای معادله را نمایش داد. در ادامه، معادله را بر اساس فرمول حل کرد و هر یک از جوابهای معادله را به صورت جداگانه به نمایش درآورد.

با بررسی جوابها میتوانیم ببینیم که عملکرد بارد کاملا درست بوده است اما مشکل از زمانی شروع میشود که درخواست خود را پیچیدهتر کنیم. در ادامه، از بارد میخواهیم که جواب سوالات را به فرم اعشاری یا فرمهای دیگر نمایش دهد.

همانطور که مشاهده میکنید، جوابهای اعشاری درست نیستند. در واقع، این جوابها باید برابر با و میشدند. با ادامه چت متوجه شدیم که بارد در انجام محاسبات حاوی چندین عملگر به همراه رادیکال و دیگر عملگرهای نسبتا پیچیده مشکل دارد. پس به همان جواب کسری و رادیکالی قناعت میکنیم. البته این موضوع، چیزی از ارزشهای بارد در حل مسائل ریاضی کم نمیکند و این مشکل در چتجیپیتی نیز وجود دارد.
یکی از قابلیتهای جذاب بارد، امکان آپلود عکس مسائل ریاضی (چه مسائل متنی و چه مسائل فرمولی) و دریافت جواب سوالات است. در تصویر زیر، عکس یک معادله درجه دو را، توسط آیکون عکس در کنار کادر تایپ متن، برای بارد ارسال کردیم و به زبان فارسی از آن خواستیم تا معادله را برایمان حل کند.

همانطور که مشاهده میکنید، بارد، تصویر را به خوبی درک کرده و ضمن بیرون کشیدن صحیح معادله از درون آن، جوابهای درست را برایمان به دست آورده است.

قابلیت تحلیل عکس و انجام دستورات از روی محتوای آن، در چتجیپیتی نیز وجود دارد. در مجموع، گوگل بارد و چتجیپیتی، قابلیتها و محدودیتهای مشابهی در زمینه حل مسائل ریاضی دارند. با این تفاوت که بارد، یک ابزار رایگان بوده و دسترسی به آن برای اغلب کاربران سادهتر است.
این نکته را به خاطر داشته باشید که ابزارهای هوش مصنوعی برای حل مسائل ریاضی، مخصوصا مدلهای زبانی بزرگ، هنوز به سطح قابل قبولی برای تحلیل مسائل و فرمولهای پیچیده نرسیدهاند. مثالهایی که در مورد Chat GPT و Bard، ارائه کردیم، مثالهایی بودند که در همان تلاش اول، به جواب درست رسیدیم. علاوه بر اینها، مثالهای پیچیدهای نیز وجود داشتند که به دلیل رسیدن جواب نادرست، از آوردن آنها صرف نظر کردیم. اگر قصد دارید از چتجیپیتی و بارد برای حل مسائل متوسط تا پیچیده استفاده کنید، حتما این نکته را در نظر بگیرید و این ابزارها را به خوبی آموزش دهید. در نهایت، همیشه به کمک روشهای مختلف، جواب نهایی را اعتبارسنجی کنید.

مشکل اصلی استفاده از مدلهای زبانی بزرگ به عنوان ابزارهای هوش مصنوعی برای حل مسائل ریاضی این است که این مدلها، در اغلب موارد، به هر طریقی به دنبال جواب دادن سوالات هستند و منطقی یا غیرمنطقی بودن سوالات برایشان فرقی نمیکند (تصویر بالا). اگر قصد حل حل کردن سوالات پیچیده و پیشرفته ریاضی را دارید، به سراغ ابزار معرفی شده در بخش بعد بروید.
۳. ولفرام آلفا و قابلیت های آن در حل مسائل ریاضی
«ولفرام آلفا» (Wolfram Alpha)، یک ابزار محاسباتی مبتنی بر هوش مصنوعی و «موتور محاسبهگر دانش» (Computational Knowledge Engine) است که به طور اختصاصی به منظور حل مسائل علمی مورد استفاده قرار میگیرد. اگر با ابزارهای کامپیوتری در حوزه محاسبات ریاضی آشنایی داشته باشید، به احتمال زیاد، نام نرمافزار متمتیکا به گوشتان خورده است. این نرمافزار یکی دیگر از محصولات Wolfram است و در واقع، به عنوان نسل قبلی Wolfram Alpha در نظر گرفته میشود.

مدلهای زبانی بزرگی که در دو بخش قبلی معرفی کردیم (چت جیپیتی و بارد)، کاربرد عمومی داشتند. برخلاف این ابزارها، Wolfram Alpha، با تکیه بر مجموعه عظیم دادهها و الگوریتمهای محاسباتی خود، بر روی حل سوالات در حوزههایی نظیر ریاضی، فیزیک، شیمی، اقتصاد، مهندسی، تاریخ، روابط عمومی، گردشگری، مواد، تغذیه، آمار و بسیاری از حوزههای علمی دیگر تمرکز میکند.
از قابلیتهای جالب و کاربردی Wolfram Alpha، امکان انتخاب زبان ورودی برای نوشتن سوال است. کاربران میتوانند هم از زبان طبیعی (مانند Chat GPT و Bard) و هم از زبان ریاضی (فرمولنویسی) به منظور مطرح کردن سوالات خود در این ابزار هوش مصنوعی استفاده کنند. خبر خوب برای کاربران Chat GPT است که امکان نصب افزونه Wolfram Alpha و بهرهگیری از قابلیتهای محاسباتی آن به طور مستقیم در محیط چتجیپیتی وجود دارد.
حل مثال های ریاضی توسط ولفرام آلفا
پیش از حل مسائل ریاضی با ابزار هوش مصنوعی Wolfram Alpha، باید اشاره کنیم که متاسفانه قابلیت طرح سوال با زبان طبیعی در این ابزار، از زبان فارسی پشتیبانی نمیکند. بدون در نظر گرفتن این محدودیت، ولفرام آلفا را میتوان به عنوان بهترین ابزار هوش مصنوعی برای حل مسائل ریاضی در نظر گرفت.
برای درک قابلیتهای این ابزار، به مثال زیر توجه کنید. ما با نوشتن یک دستور ساده، از Wolfram Alpha خواستیم تا جمع اعداد ۲ و ۳ را برایمان محاسبه کند.

همانطور که مشاهده میکنید، با وجود سادگی این سوال و ابتدایی بودن آن برای کاربران بزرگسال، جواب ارائه شده توسط ولفرام آلفا، بسیار جامع و همراه با نکات آموزشی برای درک بهتر فرآیند حل مساله بود. در واقع، Wolfram Alpha، سطح سوال را درک کرد و متوجه شد که به احتمال زیاد، این مسئله برای کاربران مقاطع ابتدایی یا کودکان است. بنابراین، توضیحات خود را برای درک بهتر کودکان سفارشی کرد. این رویکرد، برای والدین یا حتی مربیان و معلمانی مناسب است که دغدغه توضیح دادن روش حل مسائل ریاضی به کودکان را دارند.

اکنون به سراغ حل یک مثال پیچیدهتر میرویم. یکی از مشکلاتی که در هنگام استفاده از Chat GPT یا Bard برای حل مسائل ریاضی به آن برخوردیم، عدم توانایی این دو ابزار هوش مصنوعی برای به دست آوردن صحیح معکوس توابع بود. Wolfram Alpha، نه تنها این مشکل را ندارد، بلکه علاوه بر به دست آوردن تابع معکوس، نمودار آنها را نیز رسم میکند. به عنوان مثال، به تصویر زیر دقت کنید.

در تصویر بالا، از Wolfram Alpha خواستیم تا معکوس تابع را برای ما پیدا کند. همانطور که مشاهده میکنید. این ابزار قدرتمند، جواب درست را به دست آورد و نمودار تابع اصلی به همراه تابع معکوس آن را رسم کرد. با کلیک راست بر روی فرمول و نمودار و انتخاب گزینه «Save image as»، میتوان به راحتی خروجیهای مسئله را ذخیره کرد.

ولفرام آلفا، گزینههای مختلفی را برای سفارشیسازی ظاهر جوابهای مسئله در اختیار کاربران نسخه پولی قرار داده است. برخی دیگر از امکانات پیشرفته این ابزار نظیر آپلود تصویر مسئله ریاضی نیز در نسخه پولی فعال میشوند. البته قابلیت نوشتن ورودی مسئله به زبان ریاضی، در اختیار تمام کاربران قرار دارد که با کلیک بر روی دکمه «MATH INPUT» فعال میشود.
بهترین سایت حل مسائل ریاضی
در بخش قبلی از این مطلب مجله فرادرس، سه مورد از بهترین ابزارهای هوش مصنوعی برای حل مسائل ریاضی را معرفی کردیم و نحوه استفاده از آنها را آموزش دادیم. در این بخش، به معرفی ابزارهایی میپردازیم که بر پایه وب یود و با هر دستگاه دارای قابلیت جستجو در اینترنت، قابل استفاده هستند.

۴. تتاوایز و قابلیت های آن در حل مسائل ریاضی
«تتاوایز» (Thetawise)، یکی از بهترین سایتهای تخصصی در زمینه حل مسائل ریاضی است که قابلیتهای پیشرفته متعددی را در اختیار کاربران خود قرار میدهد. از قابلیتهای جذاب این ابزار هوش مصنوعی میتوان به امکان تبدیل صوت به متن برای مطرح کردن سوال، نوشتن مسئله به صورت دستی، نوشتن مسئله با استفاده از کیبورد مخصوص، آپلود تصویر متن مسئله و کپی کردن فرمولها اشاره کرد. ناگفته نماند که Thetawise از امکان نوشتن دستورات به زبان طبیعی نیز بهره میبرد.
تتاوایز، از تمام قابلیتهای ابزارهای معرفی شده در بخشهای قبلی بهره میبرد. یکی از محدودیتهایی که در ابزارهای قبلی وجود داشت، عدم توانایی حل مسائل پیچیده (در چتجیپیتی و بارد) و عدم امکان استفاده رایگان از قابلیت آپلود تصویر برای حل مسائل (در ولفرام آلفا) بود. هنگام ورود به صفحه چت در سایت Thetawise (+)، کاربر میتواند ۲۰ سوال مطرح کند. در این ۲۰ سوال، امکان استفاده از قابلیت پیشرفته حل مسائل ریاضی با آپلود تصویر نیز وجود دارد. به عنوان مثال، تصویر زیر را در نظر بگیرید.

ما این تصویر را با گرفتن اسکرینشات از یک وبسایت ریاضی تهیه کرده، سپس، آن را درون چت تتاوایز آپلود کردیم. تتاوایز، متن و فرمولهای موجود در تصویر را مورد تحلیل قرار داد و به طور کامل و دقیق مسئله را حل کرد.

یکی از مزایای Thetawise نسبت به ابزارهایی نظیر Wolfram Alpha، پشتیبانی از زبان فارسی است. به عنوان مثال، در تصویر زیر، از این ابزار هوش مصنوعی خواستیم تا معادله درجه دو را برایمان حل کند و جوابها را به صورت اعشاری بنویسد.

از آنجایی که جوابها به طور مستقیم و بدون نمایش راهحل بیان شده بودند، بر روی گزینه «Continue explaining» کلیک کردیم.

با این کار، جزئیات بیشتری از فرمول مورد استفاده برای حل مسئله و مراحل رسیدن به جواب به نمایش درآمد. Thetawise، یک اپلیکیشن موبایل نیز دارد که از تمام امکانات نسخه وبسایت بهره میبرد. از محدودیتهای این ابزار میتوان به تعداد دستورات قابل تایپ و نیاز به ساخت حساب کاربری برای حل مسائل اشاره کرد.
۵. سیبمولب و قابلیت های آن در حل مسائل ریاضی
«سیمبولب» (Symbolab)، یکی از شناخته شدهترین و بهترین سایتهای حل مساله است که با بهرهگیری از هوش مصنوعی، امکان انجام محاسبات مرتبط با حوزههای مختلفی نظیر ریاضی، فیزیک، شیمی، اقتصاد، آمار، هندسه و حتی محاسبات رایج در زندگی روزمره را فراهم میکند. قابلیتهای این ابزار محاسباتی را میتوان تا حدودی با Wolfram Alpha مقایسه کرد.

- پس از طرح مسئله در Symbolab (با استفاده از زبان طبیعی یا روابط ریاضی)، مراحل مختلف حل مسئله به همراه جواب به نمایش درمیآیند. در حل مسائل پیچیده، برخی از جزئیات پنهان شده و فقط محاسبات اصلی نشان داده میشوند. برای دیدن جزئیات محاسبات، باید اکانت پولی Symbolab را تهیه کنید. با این وجود، قابلیتهای رایگان این ابزار هوش مصنوعی به قدری کاربردی و مفید هستند که شاید هیچوقت به قابلیتهای پولی آن نیاز پیدا نکنید.

- Symbolab، از زبان فارسی پشتیبانی نمیکند. با این وجود، امکان نوشتن مسائل متنی به زبان انگلیسی در آن وجود دارد. به عنوان مثال، در تصویر بالا، یک مسئله ساده ریاضی را در کادر تعریف مسئله تایپ کردیم و به جواب مسئله رسیدیم. با وجود سادگی و سطح پایین سوال، راهحل ارائه شده توسط Symbolab، در سطح دانشآموزان راهنمایی تا دبیرستان بود. با این وجود، اگر همین سوال را در Wolfram Alpha مطرح میکردیم، اصلا به جواب نمیرسیدیم.
- Symbolab، ابزار بسیار خوب و کاربردی است که دانشآموزان، دانشجویان، محققان و حتی اساتید دانشگاه میتوانند از آن برای حل سریع مسائل ریاضی و ایده گرفتن برای طرح سوالات امتحانی استفاده کنند. از قابلیتهای کاربردی و مفید این ابزار هوش مصنوعی میتوان به تمرینهای متعدد، یادداشتبرداری دیجیتال و برگههای خلاصه فرمولها/قوانین ریاضی اشاره کرد.
۶. مَث سالور و قابلیت های آن در حل مسائل ریاضی
«مَث سالور» (Math Solver)، ابزار تخصصی مایکروسافت در زمینه مسائل ریاضی است که از هوش مصنوعی بهره میگیرد. شرکت مایکروسافت، با توسعه محصولات نرمفزاری محبوبی نظیر سیستم عامل ویندوز و مجموعه آفیس شناخته میشود. یکی از سرویسهای رایگان این شرکت، Math Solver است. Math Solver، امکان حل کردن انواع مسائل ریاضی در حوزههای مختلفی نظیر جبر، حسابان، مثلثات و غیره را فراهم میکند. این ابزار محاسباتی مبتنی بر هوش مصنوعی، دارای وباپلیکیشن، اپلیکیشن اندروید و اپلیکیشن آیاواس است.

برای استفاده از Math Solver، کافی است مسئله مورد نظر را به زبان ریاضی نوشته و بر روی گزینه «Solve» کلیک کنید. با این کار، جواب و راه حل مسئله به صورت قدم به قدم برایتان به نمایش درمیآید. از قابلیتهای کاربردی Math Solver میتوان به امکان انتخاب روش حل (در صورت وجود راه حلهای متفاوت)، نمایش جزئیترین محاسبات انجام شده برای رسیدن به جواب، رسم نمودار، معرفی سوالات مشابه و معرفی ویدیوهای آموزشی مرتبط با سوال مطرح شده و حل مسئله از روی تصویر اشاره کرد.
برخلاف ابزارهایی که تا به اینجا معرفی کردیم، Math Solver، از تعریف مسئله به زبان طبیعی پشتیبانی نمیکند. با این وجود، قابلیتهای آن به اندازهای کاربردی و مفید هستند که باعث میشود این کمبود به چشم نیاید. برای نمایش برخی از این قابلیتها، دستگاه معادلات زیر را در نظر بگیرید:
این دستگاه را درون Math Solver تعریف کرده و بر روی Solve کلیک میکنیم. با این کار، جوابهای دستگاه به نمایش درمیآیند.

در قسمت پایین جوابها، گزینههایی برای انتخاب روش حل و نمایش مراحل وجود دارد. برای مثال، حل مسئله به روش ماتریسی را انتخاب کرده و بر روی «View solution steps» کلیک میکنیم.

در انتهای روش حل، بخشی برای نمایش نمودار مرتبط با دستگاه معادلات و بخشی برای شروع امتحان با سوالهای مشابه مسئله مطرح شده وجود دارد.

پس از بخش امتحان، بخش ویدیوهای آموزشی، به اشتراکگذاری مسئله در شبکههای اجتماعی و مثالهای ریاضی در حوزههای مختلف نشان داده میشود. در مجموع، Math Solver را میتوان به عنوان یک ابزار کاربردی و مفید برای حل و یادگیری مسائل ریاضی در نظر گرفت.
۷. مَثوِی و قابلیت های آن در حل مسائل ریاضی
«مَثوِی» (Mathway)، یک وباپلیکیشن است که با استفاده از هوش مصنوعی، مسائل مختلف ریاضی در حوزههایی نظیر جبر، مثلثات، حسابان، آمار و حتی برخی از مسائل مربوط به حوزههای فیزیک و شیمی را حل میکند. این ابزار اینترنتی، رابط کاربری سادهای دارد و از قابلیتهایی نظیر رسم نمودار و شناسایی فرمول از روی تصویر نیز پشتیبانی میکند.

هنگام نوشتن یا آپلود مسئله در Mathway و کلیک بر روی آیکون مخصوص شروع فرآیند حل، پنجرهای باز میشود که از شما میخواهد تا خروجی مورد نظر خود را انتخاب کنید. به عنوان مثال، اگر معادله مثلثاتی را درون Mathway وارد کنیم و کلیک Enter را بفشاریم، گزینههای زیر برای به دست آوردن جواب به نمایش درمیآیند. این گزینهها بر اساس نوع معادله تغییر میکنند.

در اینجا، میخواهیم مقادیر را به دست بیاوریم. بنابراین، گزینه «Solve for x» را انتخاب میکنیم. با این کار، معادله حل شده و جوابی مشابه زیر ظاهر میشود.

برای مشاهده مراحل حل، باید یک اکانت پولی تهیه کنید. با توجه به ابزارهایی که تا به اینجا معرفی کردیم، قابلیتهای Mathway، برتری خاصی نسبت دیگر گزینهها ندارد. با این وجود، رابط کاربری ساده، یادگیری سریع و سرعت بالای محاسبات را میتوان از مزیتهای اصلی نسخه رایگان این ابزار محاسباتی مبتنی بر هوش مصنوعی دانست.
۸. حل مسائل ریاضی در گوگل
«گوگل» (Google)، بزرگترین و محبوبترین موتور جستجو در اینترنت است. بهروزرسانیهای اخیر این وبسایت در سایتهای اخیر، امکان حل مسائل ریاضی با استفاده از ابزار جستجو و ابزار «لنز» (Lens) را برای کاربران فراهم کردهاند.
برای بهرهگیری از این قابلیت، کافی است رابطه مورد نظر خود را درون کادر جستجو تایپ کنید و کلید Enter را فشار دهید. به عنوان مثال، اگر بخواهیم حاصل ضرب اعداد اعشاری در را محاسبه کنیم، را درون کادر جستجو مینویسیم و کلید Enter را فشار میدهیم.

به این ترتیب، ماشین حساب گوگل، این ضرب را برایمان انجام میدهد و در کادری مشابه تصویر بالا به نمایش درمیآورد. اگر ضرب اعداد بالا را به صورت متنی مطرح میکردیم نیز دوباره همین نتیجه برایمان به نمایش درمیآمد.

برای بررسی قابلیت هوش مصنوعی گوگل در درک سوال، حتی اعداد را نیز با کلمات مینویسیم تا ببینیم نتیجه به چه شکل خواهد بود.

همانطور که مشاهده میکنید، گوگل سوال ریاضی مطرح شده با کلمات را نیز درک میکند و محاسبات آن را مشابه با حالت اول (بیان ریاضی مسئله) انجام میدهد. قابلیتهای گوگل در حل مسائل ریاضی به این محاسبات ساده محدود نمیشود. برای نشان داده این قابلیتها، معادله را به صورت $$ \text{x^2+y} $$

به این ترتیب، معادله ریاضی و در برخی از مواقع، نمودار تعاملی معادله نشان داده میشود. در تصویر زیر، نمونهای دیگر از کاربرد گوگل برای حل مسائل ریاضی را نمایش میدهد.

در مثال بالا، حل مسئله به صورت مرحله به مرحله نشان داده شده است. گوگل، انعطافپذیری پایینی برای حل مسائل ریاضی دارد. با این وجود، دسترسی راحت و سرعت بالا را میتوان به مزیت اصلی این موتور جستجوی قدرتمند دانست. در بخشهای قبلی، به معرفی کاربرد هوش ابزار مصنوعی بارد در حل مسائل ریاضی پرداخت. این ابزار قدرتمند، متعلق به گوگل است. علاوه بر موتور جستجو و ابزار هوش مصنوعی، گوگل، یک اپلیکیشن کاربردی نیز در زمینه حل مسائل ریاضی دارد که در بخشهای بعدی به معرفی آن خواهیم پرداخت.
۹. جئوجبرا و کاربردهای آن در حل مسائل ریاضی
«جئوجبر» (GeoGebra)، یک ابزار رایگان و متنباز تخصصی در زمینه حل مسائل ریاضی است که در زمینههای مختلفی نظیر هندسه، جبر، رسم نمودار، احتمالات و حسابان مورد استفاده قرار میگیرد. جئوجبرا، از سیستم عاملهای ویندوز، لینوکس، مک، اندروید، آیاواس و مرورگرهای اینترنتی پشتیبانی میکند. قابلیتهای این ابزار، مبتنی بر هوش مصنوعی هستند.

محبوبترین قابلیت GeoGebra، رسم نمودار با ویژگیهای سفارشی است. برای استفاده از این قابلیت، باید رابطه مورد نظر خود را درون کادر «Input» وارد کنید. با این کار، نمودار مربوطه به سرعت رسم میشود و یک کادر دیگر برای اضافه کردن روابط دیگر ظاهر میشود.

در مثال زیر، ریشههای معادله را به همراه مختصات جوابها و نمودار به دست آوردیم.

GeoGebra، ابزارهای بسیار متنوعی را برای سفارشیسازی نمودارها، ذخیره نمودارها، گرفتن خروجی با فرمتهای مختلف و غیره در اختیار کاربران قرار میدهد. از سایتهای مبتنی بر هوش مصنوعی با قابلیتهای مشابه GeoGebra، میتوان به «دسموس» (Desmos) (+) اشاره کرد. ابزارهای این دو سایت و نحوه کار با آنها، شباهتهای زیادی به یکدیگر دارند.
۱۰. مَث پیکس و کاربردهای آن در حل مسائل ریاضی
«مَثپیکس» (Mathpix)، یکی از بهترین ابزارهای فرمولنویسی و حل مسائل ریاضی است که از قابلیت پیشرفته تبدیل عکس به فرمول بهره میبرد. این ابزار قدرتمند، اغلب به منظور به دست آورن نسخه لاتک یا دیگر نسخههای نوشتاری فرمول توسط اسکرینشات از آن مورد استفاده قرار میگیرد.
Mathpix، دارای یک وباپلیکیشن (+)، افزونه (+)، نرمافزار ویندوز/مک/لینوکس (+)، اپلیکیشن اندروید (+) و اپلیکیشن آیاواس (+) است. تصویر زیر، رابط کاربری وباپلیکیشن این ابزار مبتنی بر هوش مصنوعی را نمایش میدهد.

از قابلیتهای اصلی Mathpix میتوان به نوشتن فرمول بر اساس استانداردهای لاتک یا به صورت متن ساده، تبدیل پیدیاف به فرمول، تبدیل عکس به فرمول، نوشتن دستی فرمول و گرفتن خروجی از فرمول با فرمتهای مختلف متنی و تصویری اشاره کرد. یکی دیگر از قابلیتهای کاربردی نسخه ویندوز این ابزار، امکان حل مسائل ریاضی با عکس گرفتن از معادله آنها است. به عنوان مثال، در تصویر زیر، ابتدا توسط قابلیت OCR مَثپیکس، از یک معادله درجه دو عکس گرفتیم.

با کلیک بر روی زبانه «Solver»، نرمافزار شروع به حل معادله کرد و ضمن نمایش ریشهها، نمودار آن را به نمایش درآورد. در کنار همه مزایا، Mathpix، محدودیتهایی دارد که از مهمترین آنها میتوان به محدود بودن تعداد استفاده از قابلیت OCR در هفته و نیاز به ساخت حساب کاربری اشاره کرد. البته با توجه به رایگان بودن اغلب قابلیتهای این ابزار، این محدودیتها به چشم نمیآیند.
بهترین سایت های هوش مصنوعی برای حل مسائل ریاضی با عکس گرفتن
در بخشهای قبل، بهترین ابزارها و سایتهای مبتنی بر هوش مصنوعی برای حل مسائل ریاضی را معرفی کردیم. یکی از قابلیتهای کاربردی و محبوب در چند مورد از این ابزارها (مانند چتجیپیتی، بارد، ولفرام آلفا، تتاوایز، مَث سالور، مَثوی و مَثپیکس)، امکان حل مسئله از روی عکس بود. در این بخش، به معرفی چند مورد دیگر از بهترین ابزارهای هوش مصنوعی برای حل مسائل ریاضی با عکس گرفتن میپردازیم.
۱۱. فوتومث و کاربردهای آن برای حل مسائل ریاضی با عکس گرفتن
«فوتومَث» (Photomath)، یکی از بهترین و معروفترین اپلیکیشنهای رایگان موبایل برای حل مسائل ریاضی با عکس گرفتن است که از هوش مصنوعی بهره میبرد. این برنامه کاربردی، از دوربین موبایل برای درک فرمولهای ریاضی و حل آنها استفاده میکند. Photomath، هم دارای نسخه اندروید (+) و هم نسخه آیاواس (+) است. بنابراین، اغلب کاربران دارای گوشیهای هوشمند میتوانند از آن برای حل مسائل ریاضی بهره بگیرند.

از قابلیتهای اصلی Photomath میتوان به اسکن مسائل ریاضی با عکس گرفتن، حل مسائل به همراه ارائه توضیحات مرحلهای راجع به راه حل، رسم نمودار و پوشش اغلب مباحث ریاضی از محاسبات ابتدایی تا حسابان پیشرفته اشاره کرد. نسخه اصلی Photomath، رایگان است اما نسخه پیشرفته آن با امکاناتی نظیر آموزش صوتی، پیشنهادات سفارشی، دیکشنری ریاضی و غیره، نیاز به پرداخت هزینه دارد. در مجموع، این اپلیکیشن مبتنی بر هوش مصنوعی، گزینه خوبی برای یادگیری ریاضی در تمام سطوح (ابتدایی تا دانشگاه) محسوب میشود.
۱۲. سقراط و کاربردهای آن برای حل مسائل ریاضی با عکس گرفتن
سقراط یا «سوکراتیک» (Socratic)، یک اپلیکیشن آموزشی مبتنی بر هوش مصنوعی است که مباحث مختلف علمی نظیر ریاضی، هندسه، مثلثات، فیزیک، شیمی، زیستشناسی و غیره را در سطوح دبیرستان تا دانشگاه پوشش میدهد. این اپلیکیشن که توسط Google AI توسعه یافته است، هوش مصنوعی را با تکنولوژی جستجوی گوگل ادغام میکند تا یک تجربه یادگیری شخصی را برای دانشآموزان و دانشجویان به وجود بیاورد.

از قابلیتهای کاربردی این اپلیکیشن میتوان به حل مسائل ریاضی با عکس گرفتن، معرفی منابع آموزشی متنوع، ارائه توضیحات گرافیکی و تجربه یادگیری تعاملی اشاره کرد. در مجموع، Socratic، یک ابزار آموزشی پیشرفته و قدرتمند در زمینههای مختلف است که میتواند شما را در حل مسائل مختلف مدرسه و دانشگاه کمک کند.
۱۳. کمرا مَث و کاربردهای آن برای حل مسائل ریاضی با عکس گرفتن
«کَمِرا مَث» (CameraMath)، یکی دیگر از اپلیکیشنهای مخصوص حل مسائل ریاضی با عکس گرفتن از آنها و به کمک هوش مصنوعی است. این اپلیکیشن نیز مانند دیگر ابزارهای معرفی شده، هم نسخه اندروید (+) و هم نسخه آیاواس (+) دارد. از قابلیتهای اصلی CameraMath میتوان به توضیح روش حل مسئله به صورت گام به گام، استفاده از چندین روش برای حل مسائل و امکان تعریف مسئله به زبان طبیعی (کلمات) اشاره کرد.

CameraMath، یک گزینه خوب برای یادگیری و حل مسائل مرتبط با مباحث ساده تا پیشرفته از جمله محاسبات ابتدایی، جبر، هندسه، مثلثات، حسابان، آمار و احتمال است. علاوه بر ابزارهای معرفی شده در بخشهای قبلی، ابزارهای هوش مصنوعی متعددی برای حل مسائل ریاضی وجود دارند که هر یک از آنها، از قابلیتهای کاربردی متنوعی بهره میبرند. از دیگر سایتها و اپلیکیشنهای مبتنی بر هوش مصنوعی برای حل مسائل ریاضی با عکس گرفتن میتوان به موارد زیر اشاره کرد:
پیش از شروع کار با هر یک از ابزارهای هوش مصنوعی، در مورد مزایا و معایب آنها مطالعه کنید تا دچار مشکل نشوید. در بخشهای بعدی، به بررسی همین موارد میپردازیم.
مزایا و محدودیت های استفاده از ابزارهای هوش مصنوعی برای حل مسائل ریاضی
استفاده از هوش مصنوعی برای حل مسائل ریاضی، مزایا و معایب متعددی دارد. از بهترین کاربردهای ابزارهای هوش مصنوعی در حوزه ریاضی میتوان به موارد زیر اشاره کرد:
- بهبود سرعت و قابلیت حل مسائل پیچیده
- ارائه راهحلهای مختلف به صورت قدم به قدم و به همراه اطلاعات تکمیلی نظیر نمودار
- سفارشیسازی تجربه یادگیری
- امکان حل مسئله از روی تصویر
- سادگی و قابلیت استفاده از آنها در تمام دستگاههای آنلاین و آفلاین
- تقویت یادگیری با ارائه مثالهای متنوع
- گرفتن ایده برای طرح سوالهای امتحانی
- کمک به والدین برای آموزش به فرزندان
در کنار تمام این مزیتها، ابزارهای هوش مصنوعی برای حل مسائل ریاضی، محدودیتهایی دارند که مهمترین آنها عبارت هستند از:
- امکان ایجاد وابستگی شدید محصلان و جلوگیری از تقویت توانایی حل مسئله (در صورت استفاده بیش از حد)
- عدم وجود درک مفهومی و عمیق از مسئله توسط هوش مصنوعی در موضوعات نیازمند استدلال
- محدودیت در حل مسائل پیچیده و پیشرفته با راه حلهای ابتکاری
- امکان سواستفاده برای حل تکالیف، بدون یادگیری روش حل
- سادهسازی بیش از حد برخی از مسائل پیچیده
- وابستگی هوش مصنوعی به مجموعه دادههای خود و امکان رسیدن به جوابهای نادرست به دلیل نبود اطلاعات کافی در همین مجموعه دادهها
با وجود تمام این مزایا و معایب، ابزارهای هوش مصنوعی جای خود را در زندگی انسانها باز کردهاند. اگر این ابزارها به درستی استفاده شوند، نتایج فوقالعادهای را در زمینه پیشرفت تحصیلی دانشآموزان و دانشجویان به همراه خواهند داشت.
سوالات متداول در رابطه با حل مسائل ریاضی با هوش مصنوعی
در بخش آخر این مطلب از مجله فرادرس، به برخی از سوالات پرتکرار در رابطه حل مسائل ریاضی با هوش مصنوعی به طور مختصر پاسخ میدهیم. در صورتی که پاسخ سوال مورد نظر خود را در این بخش نمیبینید، آن را در بخش نظرات با ما مطرح کنید.
آیا می توان مسائل ریاضی را با هوش مصنوعی حل کرد؟
بله. هوش مصنوعی در حوزههای متعددی کاربرد دارد که یکی از آنها حوزه ریاضی و حل مسائل مرتبط با آن است.
ابزارهای هوش مصنوعی برای حل مسائل ریاضی چه هستند؟
ابزارهای هوش مصنوعی برای حل مسائل ریاضی یا اصطلاحا «Math Solvers»، برنامههایی هستند که به کمک هوش مصنوعی، مسائل ساده تا پیچیده ریاضی از محاسبات ابتدایی تا حساب دیفرانسیل و انتگرال را حل میکنند.
بهترین نرم افزارهای مبتنی بر هوش مصنوعی برای دانش آموزان کدام هستند؟
فوتومِث (Photomath)، سوکراتیک (Socratic) و مَثوِی (Mathway)، از بهترین نرم افزارهای مبتنی بر هوش مصنوعی برای دانشآموزان و دانشجویان هستند.
بهترین نرم افزارهای مبتنی بر هوش مصنوعی برای معلمان و والدین کدام هستند؟
ولفرام آلفا (WolframAlpha)، مَث سالور (Math Slover) و سیمبولب (Symbolab)، از بهترین نرم افزارهای مبتنی بر هوش مصنوعی برای معلمان و والدین به شمار میروند.
بهترین سایت های مبتنی بر هوش مصنوعی در دنیای ریاضی کدام هستند؟
چتجیپیتی (Chat GPT)، بارد (Bard)، ولفرام آلفا، سیبمولب، مَثوِی و تتاوایز را میتوان به عنوان بهترین سایت های مبتنی بر هوش مصنوعی در دنیای ریاضی در نظر گرفت.
بهترین ابزارهای هوش مصنوعی برای حل مسائل ریاضی با عکس گرفتن کدام هستند؟
فوتومِث (Photomath)، سوکراتیک (Socratic) و کَمِرا مَث (CameraMath)، بهترین اپلیکیشنهای مبتنی بر هوش مصنوعی برای حل مسائل ریاضی با عکس گرفتن محسوب میشوند.
آزمون مسائل ریاضی با هوش مصنوعی
۱. هوش مصنوعی چیست و چه عنصری در عملکرد و یادگیری آن نقش کلیدی دارد؟
فناوری ساخت سیستمهای هوشمند با تکیه بر دادهها
الگوریتمی برای ذخیره اطلاعات بدون یادگیری
ابزاری برای طراحی تصاویر کامپیوتری بدون نیاز به دیتا
سیستمی برای محاسبات سریع بدون نقش دادهها
هوش مصنوعی به عنوان فناوری ساخت سیستمهای هوشمند معرفی شده که برای تصمیمگیری و یادگیری مستقل، به دادهها وابسته است.
۲. چرا بیان دقیق و شفاف سوال ریاضی هنگام استفاده از ابزارهای هوش مصنوعی (AI) اهمیت دارد؟
زیرا باعث میشود AI راهحلهای مشابه انسان ارائه دهد.
برای کاهش نیاز به اتصال اینترنتی ابزار
چون ابزارهای AI فقط معادلات ساده را متوجه میشوند.
برای افزایش سرعت تایپ و ارسال پرسش به ابزار
وقتی سوال ریاضی به صورت دقیق و شفاف بیان شود، ابزارهای هوش مصنوعی میتوانند روند حل مسئله را به شکل صحیح و مشابه نحوه فکر انسان انجام دهند. «باعث میشود AI راهحلهای مشابه انسان ارائه دهد» صحیح است زیرا با پرسش واضح، ابزارها قادرند مسئله را درست درک و حل کنند. «افزایش سرعت تایپ» و «کاهش نیاز به اینترنت» ارتباطی با اهمیت بیان سوال ندارند و «درک فقط معادلات ساده» نیز نادرست است چون ابزارها مسائل مختلفی را با بیان شفاف میتوانند حل کنند.
۳. کدام مورد از کاربردهای اصلی هوش مصنوعی (AI) در حوزه حل مسائل ریاضی است؟
مدلسازی و تحلیل دادههای ریاضی با AI
ویرایش تصاویر هنری به کمک AI
ترجمه همزمان زبانهای گفتاری با هوش مصنوعی
تولید موسیقی با استفاده از AI
«مدلسازی و تحلیل دادههای ریاضی با AI» یکی از اصلیترین کاربردهای هوش مصنوعی در ریاضیات است و در متن به نقش AI در مدلسازی، تحلیل دادهها و اثبات خودکار قضیهها اشاره شده است. گزینه «تولید موسیقی با استفاده از AI»، «ویرایش تصاویر هنری به کمک AI» و «ترجمه همزمان زبانهای گفتاری با هوش مصنوعی» همگی کاربردهایی در سایر حوزهها هستند و ربط مستقیمی با حل مسائل ریاضی ندارند.
۴. کدام گزینه درباره تفاوت ChatGPT و Bard در حل مسائل ریاضی از نظر دقت و پشتیبانی زبانی درست است؟
ChatGPT فقط به زبان انگلیسی می تواند حل مساله کند، اما Bard از زبان فارسی نیز پشتیبانی دارد.
دقت Bard در حل معادلات همواره بیشتر از ChatGPT است.
Bard داده های به روزتری دارد و پشتیبانی زبانی بالاتری نسبت به ChatGPT ارائه می دهد.
ChatGPT در همه زبان ها و مثال ها جواب بهتری نسبت به Bard دارد.
Bard با داده های به روزتر و انعطاف بالاتر از نظر پشتیبانی زبانی نسبت به ChatGPT عمل می کند، به ویژه در مثال های مختلف ریاضی و زبان های متفاوت دقت و پشتیبانی خوبی نشان می دهد. برخلاف این، ChatGPT دارای محدودیت هایی برای برخی زبان ها و نوع مثال است.
۵. کدام ویژگی Wolfram Alpha باعث برتری آن در حل مسائل تخصصی ریاضی نسبت به ChatGPT و Bard میشود؟
استفاده از دادههای ساختارمند و الگوریتمهای دقیق
رابط کاربری ساده و پشتیبانی از زبانهای بیشتر
امکان گفتوگو و حل همزمان چند مسئله
دسترسی رایگان و بدون نیاز به ثبتنام
ویژگی «استفاده از دادههای ساختارمند و الگوریتمهای دقیق» دلیل برتری Wolfram Alpha در حل مسائل تخصصی ریاضی است؛ این ابزار برخلاف «امکان گفتوگو و حل همزمان چند مسئله» که بیشتر در ابزارهای عمومی مانند ChatGPT دیده میشود، یا «رابط کاربری ساده و پشتیبانی از زبانهای بیشتر» و «دسترسی رایگان و بدون نیاز به ثبتنام» که عوامل فرعی هستند، با تمرکز بر خروجیهای علمی دقیق و محاسبات حرفهای جایگاه ویژهای دارد.
۶. برای افرادی که نیاز به حل مرحله به مرحله مسئله و رسم نمودار دارند، کدام ابزارهای زیر پیشنهاد مناسبی بر اساس ویژگیهای معرفیشده به حساب میآیند؟
استفاده از Symbolab برای حل مرحلهای و تمرین فرمولها
استفاده از Bard گوگل جهت حل مسائل چندمرحلهای
بهکارگیری Math Solver برای نمایش مراحل و رسم نمودار
انتخاب Photomath به خاطر امکانات آموزش متنی
"Math Solver" با ارائه حل گامبهگام، امکان انتخاب روش حل و نمایش نمودارها تجربه مناسبی برای کاربرانی فراهم میکند که هم به مراحل حل و هم به گراف (نمودار) نیاز دارند. "Symbolab" فقط بعضی مراحل حل را (در نسخه رایگان) نشان میدهد و تمرکز آن بر تمرین فرمولهاست، اما قابلیت رسم نمودار به شکلی که Math Solver دارد، ندارد. "Bard" گوگل گرچه قدرت زبانی خوبی دارد، اما تمرکز آن بر حل مرحلهای و رسم نمودار گزارش نشده است. همچنین "Photomath" بر آموزش تصویری و نمایش راهحل مرحلهای تمرکز دارد ولی امکانات بصری نمودار را مانند Math Solver ارائه نمیدهد. بنابراین برای نیاز ترکیبی حل گام به گام همراه با رسم نمودار، انتخاب Math Solver بر اساس ویژگیهای ارائهشده مناسبتر است.
۷. در حل مسائل ریاضی با ابزارهایی مانند ChatGPT و Bard، در چه شرایطی ممکن است این ابزارها پاسخ نادرست یا ناقص ارائه دهند؟
هنگامی که سوال به زبان غیرانگلیسی مطرح شود و ترجمه ماشینی ضعیف عمل کند.
زمانی که کاربر از ابزارهای نسخه رایگان به جای نسخه حرفهای استفاده کند.
وقتی سوال فاقد جزئیات کافی باشد یا نیازمند استدلال تخصصی باشد.
در صورت استفاده همزمان از عکس و متن در یک ورودی واحد.
ابزارهایی مانند ChatGPT و Bard در مواجهه با سوالاتی که به جزئیات تخصصی نیاز دارند یا استدلال دقیق میطلبند، گاهی نتایج نادرست یا غیر بهینه ارائه میدهند. این مشکل وقتی رخ میدهد که سوال به شکل مبهم یا بدون شفافیت کافی مطرح شود یا نیازمند راهحلهایی فراتر از پاسخهای سطحی باشد.
۸. اگر برای حل مسئله ریاضی از Math Solver استفاده شود، کدام ویژگی را معمولا نسبت به برخی حلگرهای دیگر باید انتظار داشت؟
نمایش مراحل حل و انتخاب روش حل مسئله
تشخیص خودکار زبان فارسی و انگلیسی
ارائه پاسخهای متنی در سطح کودکان و بزرگسالان
پشتیبانی کامل از ورود صوتی مسائل ریاضی
Math Solver به کاربران امکان مشاهده مراحل حل و همچنین انتخاب روش حل مسئله را میدهد که این دو قابلیت مهم باعث سادهتر شدن یادگیری و پیگیری راهحل توسط کاربر میشود. ابزاری مثل Symbolab یا Mathway ممکن است مراحل را نشان دهند اما همیشه امکان انتخاب روش حل وجود ندارد. Math Solver از ورود صوتی به طور کامل پشتیبانی نمیکند و برخلاف برخی ابزارها مثل Thetawise، زبان فارسی را به شکل خودکار تشخیص نمیدهد. همچنین توضیحات مرحلهای در سطح گروههای سنی مانند کودکان به سبک Wolfram Alpha توسط آن ارائه نمیشود.
۹. کدام مورد از مهمترین مزایا یا معایب ابزارهای هوش مصنوعی (AI) در حل و آموزش ریاضی است؟
عدم نیاز به هیچ دانش قبلی برای استفاده موثر از ابزارهای AI
افزایش وابستگی کاربران و کاهش مهارت استدلال مفهومی
ارائه تمام راهحلهای ریاضی بدون هیچ خطا یا نقص
امکان حل سریع مسائل پیچیده و صرفهجویی در زمان
گزینه «افزایش وابستگی کاربران و کاهش مهارت استدلال مفهومی» یکی از معایب مهم ابزارهای AI در حل و آموزش ریاضی است که در متن به آن اشاره شده است. اگرچه AI میتواند مسائل را سریع حل کند، اما استفاده بیش از حد از این ابزارها ممکن است موجب کمرنگشدن توانایی تفکر تحلیلی و استدلال شود. «امکان حل سریع مسائل پیچیده» فقط جنبه مثبت را نشان میدهد که به تنهایی نقص یا عیب نیست. «عدم نیاز به هیچ دانش قبلی» صحیح نیست چون کاربر باید مسئله را درست مطرح کند. همچنین «ارائه تمام راهحلهای ریاضی بدون هیچ خطا» نادرست است چون ابزارهای AI ممکن است پاسخ نادرست یا ناقص بدهند.
۱۰. در انتخاب ابزارهای هوش مصنوعی برای حل مسائل ریاضی، پشتیبانی از زبان فارسی چه نقشی در تجربه کاربر دارد و کدام ابزارها این ویژگی را دارند؟
فقط Photomath قابلیت تشخیص مسائل فارسی را به شکل مستقیم دارد.
Symbolab و Mathway به طور کامل از زبان فارسی پشتیبانی میکنند و مناسب کاربران فارسیزبان هستند.
GeoGebra و Wolfram Alpha تنها ابزارهایی هستند که ورودی فارسی را قبول میکنند.
Thetawise و CameraMath امکان حل مسائل با زبان فارسی را دارند و تجربه آسانتری برای فارسیزبانان فراهم میکنند.
پشتیبانی از زبان فارسی در ابزارهایی مانند "Thetawise" و "CameraMath" باعث میشود کاربران فارسیزبان بتوانند مستقیما با این ابزارها ارتباط برقرار کنند و مسائل خود را به زبان مادری وارد نمایند. این ویژگی موجب تجربه کاربری بهتر، کاربری آسانتر و کاهش خطا در ورود داده میشود. سایر ابزارها مثل "Symbolab" و "Mathway" یا "GeoGebra" و "Wolfram Alpha" از زبان فارسی پشتیبانی نمیکنند و "Photomath" نیز قابلیت ویژهای برای فارسی ارائه نمیدهد؛ بنابراین تنها ابزارهایی مانند "Thetawise" و "CameraMath" باعث تجربه مطلوبتری برای کاربران فارسیزبان میشوند.
۱۱. ابزارهایی که فقط از OCR یا عکس گرفتن در حل مسائل ریاضی پشتیبانی میکنند اما زبان طبیعی را پشتیبانی نمیکنند، چه کاربردی برای کاربران دارند؟
راه حل مسائل را فقط به صورت صوتی نمایش میدهند.
قابلیت جستجو در منابع درسی مختلف را فراهم میسازند.
امکان دریافت توضبح مفهومی درباره سوالات به زبان طبیعی را فراهم میکنند.
اجازه میدهند با عکس گرفتن، فورا فرمول ریاضی را به فرمت دیجیتال تبدیل کنند.
ابزارهایی که تنها از OCR یا عکس گرفتن پشتیبانی میکنند، مانند Mathpix یا برخی حلگرهای مشابه، به کاربران این امکان را میدهند که فرمولهای ریاضی را از روی عکس، به سرعت به متن دیجیتال و قابل ویرایش یا حل تبدیل کنند. این ابزارها برخلاف ابزارهای مبتنی بر زبان طبیعی نمیتوانند توضیحات مفهومی و مکالمهمحور ارائه دهند یا به صوت پاسخ دهند. قابلیت جستجو در منابع نیز جزو کاربردهای ذکر شده آنها نیست؛ کاربرد اصلیشان تسهیل ورود فرمولها و سوالات از روی تصاویر است.
۱۲. برای انتخاب بین ابزارهای آنلاین حل ریاضی مانند Thetawise، Symbolab و Mathway، کدام عامل نقش اصلیتری در تعیین بهترین گزینه برای کاربر دارد؟
ارائه تمرین و خلاصهفرمولهای آموزشی داخل محیط ابزار
پشتیبانی از زبان فارسی و حل مسئله با صوت یا عکس
وجود نسخه پولی برای ارائه امکانات بیشتر
امکان پشتیبانی از سطوح دانشگاهی و مسائل تخصصی
در میان ویژگیهای مطرحشده، «پشتیبانی از زبان فارسی و حل مسئله با صوت یا عکس» جزو عوامل اصلی است که Thetawise را از دیگر ابزارها متمایز میکند و کاربردیتر میسازد، بهویژه برای کاربران فارسیزبان یا کسانی که نمیتوانند مسئله را تایپ کنند. گزینههایی مانند وجود نسخه پولی یا ارائه تمرین و خلاصهفرمول هرچند مفیدند، اما از نظر گستردگی کاربرد و سهولت استفاده، اهمیت کمتری نسبت به پشتیبانی چندزبانه و روشهای ورود منعطف دارند. همچنین، پشتیبانی کامل از موضوعات تخصصی بیشتر به ابزارهای دیگر برمیگردد و عامل تعیینکننده نیست.
۱۳. ابزارهای رایگان هوش مصنوعی در حل مسائل ریاضی چه ویژگیهای مثبت و منفی دارند؟
بینیازی به شفافیت سوال، همیشه نمایش کامل راه حل و نبود خطا در خروجی
امکان حل بدون اینترنت، پشتیبانی کامل از فارسی و عدم وجود محدودیت محاسباتی
ارائه آموزش تصویری، رفع همه محدودیتهای زبانی و یکسان بودن دقت همیشه
پاسخگویی سریع، حل مسائل پیچیده، اما احتمال بروز جواب نادرست
ابزارهای رایگان هوش مصنوعی برای حل مسائل ریاضی مزایایی مانند سرعت بالا در پاسخگویی و توانایی حل مسائل پیچیده را دارند، اما این ابزارها گاهی ممکن است پاسخ نادرستی بدهند یا دچار خطای محاسباتی شوند. «پاسخگویی سریع، حل مسائل پیچیده، اما احتمال بروز جواب نادرست» درست است چون هر دو جنبه مثبت و منفی را مطابق متن بیان میکند. سایر گزینهها مثل «ارائه آموزش تصویری، رفع همه محدودیتهای زبانی و یکسان بودن دقت همیشه» صحیح نیستند، چون ابزارها همیشه بدون محدودیت زبانی یا با دقت یکسان عمل نمیکنند و برخی حتی زبان فارسی را به طور کامل پشتیبانی نمیکنند. همچنین در «امکان حل بدون اینترنت، پشتیبانی کامل از فارسی و عدم وجود محدودیت محاسباتی» مزایایی بیان شده که در متن تایید نمیشود. عبارت «بینیازی به شفافیت سوال، همیشه نمایش کامل راه حل و نبود خطا در خروجی» نیز با توجه به تاکید متن بر نیاز به شفافیت سوال و وجود احتمال خطا صحیح نیست.
۱۴. دانشآموزی برای تمرین و یادگیری مفهومی ریاضی با کمک AI به چه شیوهای بهترین بهره را از ابزارهای معرفیشده خواهد برد؟
تمرکز فقط بر پاسخدهی Bard برای محاسبات پیچیده بدون بررسی روش حل
حل تمامی مسائل پیشرفته با استفاده از Mathway بدون توضیح مراحل میانی
استفاده صرف از Math Solver برای حل سریع مسائل بدون مشاهده مراحل
بهرهگیری از Photomath یا Thetawise برای آموزش تصویری و نمایش قدمبهقدم راهحلها
اگر دانشآموز با هدف فهم عمیق و تمرین ریاضی از AI کمک بگیرد، ابزارهایی مانند Photomath یا Thetawise با قابلیت نمایش تصویری و ارائه راهحل گامبهگام بهترین کمک را خواهند کرد؛ زیرا این ابزارها نه تنها به حل مساله اکتفا نمیکنند، بلکه مسیر یادگیری را تقویت کرده و امکان آموزش مفهومی فراهم میآورند. گزینههایی مانند استفاده صرف از Math Solver یا Mathway بیشتر بر دریافت پاسخ سریع متمرکزند و جزئیات آموزشی ارائه نمیکنند. همچنین تمرکز بر Bard فقط برای محاسبات پیچیده و بدون بررسی روند حل، کمک چندانی به درک مفهومی یا تمرین مهارتها نخواهد کرد.













سلام واقعاخسته نباشید مطالب خیلی مفیدی بود.میخاستم بدونم بااستفاده ازهوش مصنوعی میشه یه معادله ی سه مجهولی روکه شامل اعداد ۱۰۰رقمی هست حل کرد؟مثلاxy+3x+4z=15بجای این عددهای۱۰۰رقمی باشه.ممنون
با سلام خدمت شما؛
با استفاده از ابزارهای محاسباتی پیشرفته و کتابخانههای ریاضی در زبانهای برنامهنویسی مانند پایتون، میتوان معادلههای سه مجهولی با اعداد ۱۰۰ رقمی را حل کرد. این کار بیشتر به قدرت محاسباتی و الگوریتمهای دقیق ریاضی نیاز دارد تا به هوش مصنوعی عمومی. هوش مصنوعی میتواند در بهینهسازی فرآیند حل کمک کند، اما هسته اصلی راهحل توسط نرمافزارهای تخصصی انجام میشود.
از همراهی شما با مجله فرادرس سپاسگزاریم.