سیکل ترمودینامیکی چیست؟ – به زبان ساده
یک سیکل ترمودینامیکی به مجموعه فرآیندهایی اتلاق میشود که با یکدیگر در ارتباط هستند. در این فرآیندها دما، فشار، آنتروپی و دیگر متغیرهای حالت، تغییر میکنند و نهایتا سیستم به حالت اولیه خود باز میگردد. مهمترین مشخصه چنین سیکلی، تبادل حرارت و کار با محیط اطرافش است.



در چنین فرآیندی، جریان مورد استفاده شده (سیستم) میتواند از انرژی حرارتی برای ایجاد کار استفاده کند و مقدار باقیمانده آن را به منبع سرد بدهد؛ به این سیستم، «موتور حرارتی» (Heat Engine) گفته میشود. برعکس موتور حرارتی، یک سیکل میتواند از کار بهمنظور انتقال انرژی از منبع سرد به گرم استفاده کند. به سیستمهای مبتنی بر این فرآیندها، «پمپ حرارتی» (Heat Pump) میگویند. توجه داشته باشید که در هر نقطه از سیکل، سیستم در حالت تعادل ترمودینامیکی خود است؛ بنابراین سیکل مذکور بازگشتپذیر خواهد بود. [منظور حالت ایدهآل است.]

در یک سیکل بسته، سیستم به فشار و دمای اولیه خود خواهد رسید. توجه داشته باشید که در یک سیکل ترمودینامیکی مقادیری همچون کار و انتقال حرارت صورت گرفته، تابع مسیر هستند؛ از همین رو اصطلاحا این مقادیر، «تابع مسیر» نامیده میشوند. برای سیکلی که در آن یک سیستم به حالت اولیه خود باز میگردد، قانون اول ترمودینامیک را میتوان به شکل زیر بیان کرد.
این معادله بیان میکند که تغییر انرژی در یک سیکل بسته اتفاق نمیافتد. هر دو مقدار Ein و Eout میتوانند ناشی از مبادله حرارت و یا انجام کار باشند. این قانون همچنین بیان میکند که مقدار مبادله خالص حرارت برابر با کار خالص انجام شده روی سیستم یا توسط سیستم است. سیکلهای ترمودینامیکی را معمولا بر مبنای فرآیندهای شبه استاتیک مدلسازی میکنند.
گرما و کار
دستهبندی اولیه سیکلهای ترمودینامیکی، مربوط به پمپهای حرارتی و سیکلهای تولید توان میشوند. سیکلهای توانی، فرآیندهایی هستند که در آنها از انرژی حرارتی بهمنظور ایجاد کار استفاده میشود؛ این در حالی است که پمپهای حرارتی گرما را از جسم دما پایین به جسم دما بالا منتقل میکنند. شناخته شدهترین پمپ حرارتی، یخچال است. با کنترل جهت هر فرآیند میتوان سیکل کاری را تبدیل به یک پمپ حرارتی و یا موتور گرمایی کرد. در واقع ساعتگرد یا پادساعتگرد بودن نمودارهای حجم-فشار، دما-آنتروپی، نشان دهنده پمپ بودن یا موتور بودن فرآیند هستند.
کار
از آنجایی که تغییرات خواص حالت در یک سیکل ترمودینامیکی صفر است، بنابراین نمودارهای سیکل مفروض بهشکل بسته خواهند بود. برای نمونه در نمودار P-V، (فشار-حجم) محور x و y بهترتیب نشان دهنده حجم (V) و فشار (P) هستند.

با توجه به این نمودار، کار صورت گرفته با استفاده از فرمول زیر محاسبه میشود.
کار صورت گرفته برابر با مقدار حرارتِ خالص مبادله شده با محیط است. بنابراین میتوان گفت:
معادله بالا، سیکل را مشابه با فرآیندی فرض میکند که در آن انتقال حرارتی اتفاق نمیافتد. اگر «فرآیند چرخهای» (Cyclic Process) بهصورت ساعتگرد در نظر گرفته شود، W مثبت خواهد بود، بنابراین با یک موتور حرارتی مواجه هستیم. اما اگر نمودار P-V به شکل پادساعتگرد باشد، W منفی و سیکل، نشان دهنده یک پمپ حرارتی است.
انواع فرآیندها در سیکل ترمودینامیکی
بهمنظور آشنایی با فرآیندهای مختلف در یک سیکل ترمودینامیکی، «سیکل استرلینگ» (Stirling Cycle) مورد بررسی قرار میگیرد. نمودار P-V مربوط به این سیکل در شکل زیر آمده است. سیکل یاد شده از دو فرآیند فشار ثابت و آنتروپی ثابت تشکیل شده است.

در هر فرآیندِ این سیکل، خواص ترمودینامیکی به شکل زیر تغییر میکنند.
فرآیند ۲→۱: انبساط آیزنتروپیک
کاهش فشار؛ افزایش حجم؛ کاهش دما؛ ثابت ماندن آنتروپی
فرآیند ۳→۲: سرمایش حجم ثابت
کاهش فشار؛ ثابت ماندن حجم؛ کاهش دما؛ کاهش آنتروپی
فرآیند ۴→۳: انقباض آیزنتروپیک
افزایش فشار؛ کاهش حجم؛ افزایش دما؛ ثابت ماندن آنتروپی
فرآیند ۱→۴: گرمایش حجم ثابت
افزایش فشار؛ ثابت ماندن حجم؛ افزایش دما؛ افزایش آنتروپی
در بالا هر بخش سیکل استرلینگ مورد تجزیه و تحلیل قرار گرفت. در مهندسی، سیکلهای بسیاری وجود دارند که دارای کاربرد هستند. بهعنوان مثال از سیکل دیزل در موتور ماشینهای سنگین و یا از سیکل برایتون در موتور جت استفاده میشود. همانطور که در بالا نیز بیان شد، هر سیکل از تعدادی «فرآیند» (Process) تشکیل شده. برای نمونه شکل زیر فرآیندهای اتفاق افتاده در یک موتور دیزل را نشان میدهد.

فرآیندهای یک سیکل ترمودینامیکی
آدیاباتیک (Adiabatic): فرآیندی است که در آن انتقال حرارتی اتفاق نمیافتد. این فرآیند میتواند بخشی از یک سیکل ترمودینامیکی باشد. برای نمونه در مثال سیکل استرلینگ، دو فرآیند وجود داشت (آیزنتروپیک) که در آن δQ برابر با صفر بود.
دما ثابت (Isothermal): در این فرآیند دمای سیستم در بخشی از سیکل، ثابت میماند. تغییر نکردن دما به انتقال حرارت و یا کار صورت گرفته ارتباطی ندارد. [در واقع در یک فرآیند، دما میتواند ثابت بماند اما همزمان انتقال گرما و یا کار هم اتفاق بیافتد.]
فشار ثابت (Isobaric): اگر در بخشی از یک سیکل، فشار سیستم ثابت بماند، اصطلاحا به آن، فرآیند فشار ثابت گفته میشود.
حجم ثابت (Isochoric): به فرآیندی اتلاق میشود که در آن حجم سیال کاری (سیستم) ثابت بماند.
آیزنتروپیک (Isentropic): هنگامی که سیستم در بخشی از سیکل، فرآیندی را تجربه کند که در آن آنتروپی ثابت باشد، فرآیندی آیزنتروپیک رخ داده است.
آنتالپی ثابت (Isenthalpic): احتمالا شما نیز متوجه شدهاید که اگر فرآیندی، بدون تغییر آنتالپی، انجام شود، آنتالپی ثابت تلقی خواهد شد.
پلیتروپیک (Polytropic): اگر در فرآیندی تغییرات بین حجم و فشار بهشکلی باشد که رابطه pvn، همواره ثابت بماند، فرآیندی پلیتروپیک اتفاق افتاده است [فرآیندی که از رابطه ثابت =pvn پیروی کند]. شکل زیر فرآیندی پلیتروپیک را به ازای nهای مختلف نشان میدهد.

بازگشتپذیر (Reversible): به فرآیندی گفته میشود که در آن تولید آنتروپی وجود نداشته باشد. در چنین فرآیندی رابطه زیر برقرار است.
پیشنهاد میکنیم برای آشنایی بیشتر با اینگونه خواص سیالات، مطلب خواص ترمودینامیک سیالات مجله فرادرس را مطالعه کنید.
سیکلهای توانی
سیکلهای توانی، مبنای اصلی موتورهایی هستند که در تولید الکتریسیته و در وسایط نقلیه از آنها استفاده میشود. این سیکلها را میتوان به دو دسته سیکلهای واقعی و ایدهآل تقسیمبندی کرد. تحلیل سیکلهای واقعی که در صنعت از آنها استفاده میشود، به دلیل وجود عوامل پیچیدهای همچون اصطکاک و انواع بازگشتناپذیریها بسیار مشکل است. بهمنظور تحلیل و بررسی سیستمهای واقعی از سیکلهایی ایدهآل استفاده میشود؛ این مدلهای ایدهآل، به مهندسان امکان مطالعه و بررسی تاثیر انواع پارامترها روی سیکلهای واقعی را میدهد.
مدلهای توانی را همچنین میتوان بر اساس نوع کاربردشان، دستهبندی کرد. معروفترین سیکلی که از آن بعنوان سیکل موتور احتراق داخلی استفاده میشود، تحت عنوان سیکل اتو نامگذاری شده است؛ از طرفی همانطور که در بالا نیز بیان شد، از سیکل دیزل بهمنظور شبیهسازی موتورهای دیزلی استفاده میکنند.
همچنین سیکلهای رانکین، برایتون و استرلینگ نیز به ترتیب در توربین بخار، توربین گاز و موتور هوای داغ کاربرد دارند. در بعضی از این موتورها از سیکل اریکسون نیز استفاده میشود. ضمنا سیکل رانکین مبنای کاری نیروگاههای گرمایی است.

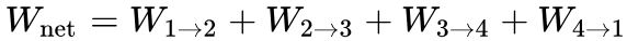
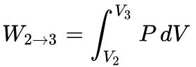
در این قسمت سیکل استرلینگ را تحلیل میکنیم. همانطور که در بالا نیز بیان شد این سیکل شامل چهار فرآیند ترمودینامیکی است؛ بنابراین کار خالص خروجی از آن، مجموع کارهای هر مرحله از سیکل در نظر گرفته میشود. به لحاظ کمی، مقدار کار خالص خروجی از فرآیندها را میتوان با انتگرالگیری از هر بخش نمودار فشار-حجم و بهشکل زیر محاسبه کرد.




برای یک سیکل مبتنی بر استرلینگ که به صورتی ایدهآل کار میکند، تغییر حجمی در فرآیند 1→4 و ۲→۱ رخ نمیدهد. بنابراین کار خالص انجام شده بهشکل زیر بیان خواهد شد.

سیکل پمپ حرارتی
سیکل پمپ حرارتی، در پمپهای حرارتی خانهها و همچنین در یخچالها مورد استفاده قرار میگیرد. مبنای کاری هر دوی این دستگاهها، انتقال حرارت از محیط سرد به گرم است. اما تفاوت پمپ حرارتی و یخچال در این است که در اولی محیط سرد، (محیط بیرون) نامحدود و در دومی (اتاقک یخچال) محدود است.

مدلسازی سیستمهای واقعی
از سیکلهای ترمودینامیکی بهمنظور مدلسازی سیستمهای واقعی نیز استفاده میشود. با اعمال فرضیاتی در سیکلهای ایدهآل میتوان این مدلسازی را انجام داد. به عنوان مثال، همانطور که در شکل زیر نشان داده شده، میتوان از سیکل برایتون بهمنظور مدلسازی توربین گاز و یا موتور جت بهره برد. یک موتور جت واقعی از چندین فرآیند تشکیل شده که هر کدام از آنها را با یک فرآیند ایدهآل مدلسازی میکنند. در هر قسمت از این فرآیند اتفاقی رخ میدهد که تاثیرات آن بایستی اعمال شود. بهعنوان مثال در بخش احتراق فشار ثابت نخواهد ماند و به اندازه اندکی نسبت به حالت ایدهآل منحرف خواهد شد. با اعمال کردن این تاثیرات در هر فرآیند، سیکل واقعی مدلسازی میشود.
در بعضی موارد ممکن است اختلاف میان سیکل واقعی و ایدهآل زیاد باشد؛ به عنوان مثال دو نمودار زیر عملکرد یک موتور مبتنی بر سیکل استرلینگ را در دو حالت واقعی و ایدهآل و شکل سوم اختلاف این دو را نشان میدهد.



از آنجایی که مساحت درون نمودار، نشاندهنده کار خالص خروجی این موتور است، با توجه به دو شکل بالا میتوان اختلاف کار واقعی و ایدهآل، در این دو حالت را مشاهده کرد.
سیکلهای ترمودینامیکی شاخص
در عمل، یک سیکل ترمودینامیکی ایدهآل از چهار فرآیند تشکیل شده. همچنین در اکثر این سیکلها و در تعدادی از فرآیندهای آن، بعضی از خواص حالت، ثابت هستند. مثلا در سیکل برایتون در دو فرآیند، خاصیت فشار ثابت در نظر گرفته میشود. در جدول زیر تعدادی سیکل شاخص به همراه فرآیندهای آنها بیان شدهاند.
| سرمایش ۱→۴ | انبساط ۴→3 | دریافت گرما۳→۲ | تراکم۲→۱ | سیکل |
| دما ثابت | آیزنتزوپیک | دما ثابت | آیزنتزوپیک | کارنو |
| فشار ثابت | دما ثابت | فشار ثابت | دما ثابت | اریکسون |
| فشار ثابت | آدیاباتیک | فشار ثابت | آدیاباتیک | رانکین |
| حجم ثابت | دما ثابت | حجم ثابت | دما ثابت | استرلینگ |
| فشار ثابت | آدیاباتیک | فشار ثابت | آدیاباتیک | برایتون |
| حجم ثابت | آدیاباتیک | فشار ثابت | آدیاباتیک | دیزل |
| حجم ثابت | آدیاباتیک | حجم ثابت | آدیاباتیک | اتو |
اگر به مطالب مرتبط در زمینه مهندسی علاقهمند هستید، احتمالا آموزشهای زیر نیز میتوانند برایتان کاربردی باشند:
- فرآیند آیزنتروپیک -- از صفر تا صد
- فرآیند آدیاباتیک -- به زبان ساده
- ترمودینامیک — از صفر تا صد
- نیروگاه گرمایی چگونه کار میکند؟ — از صفر تا صد
- آموزش ترمودینامیک ۱
^^












